Poslední aktualizace :
27/01/2026
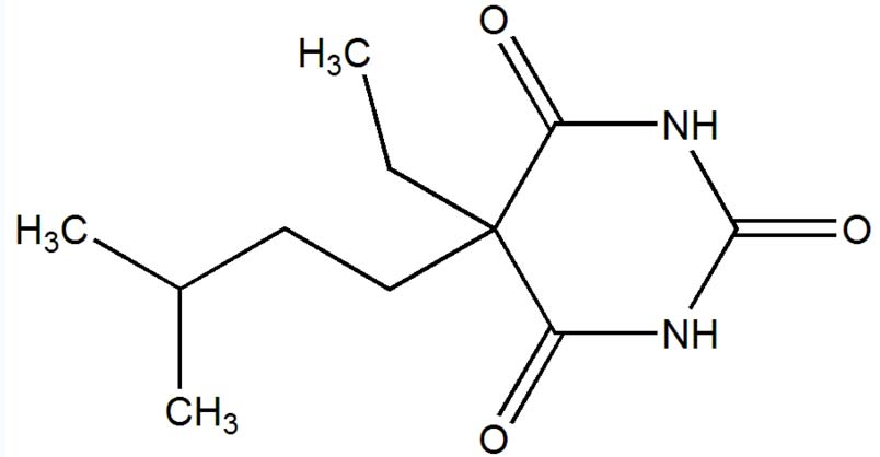
Centrální anestetikum   Amobarbital sodium  
injekce
Stabilita roztoků Stabilita směsí Faktory ovlivňující stabilitu Kompatibilita Způsoby aplikace Odkazy pdf
   Chemický vzorec  

Obchodní název   Obchodní název     

Trade names are indicative and excipients composition can be different depending on the country and manufacturers

Amytal Sodium USA
Stabilita směsí   injekce   Stabilita směsí : Amobarbital sodium     
žádná data

  Mentions Légales