Senaste uppdateringen :
27/01/2026
Vasodilaterare   Alprostadil  
injektion
Lösningars stabilitet Stabilitet i blandningar Faktorer som påverkar stabiliteten Kompatibilitet Administreringssätt Hänvisningar pdf
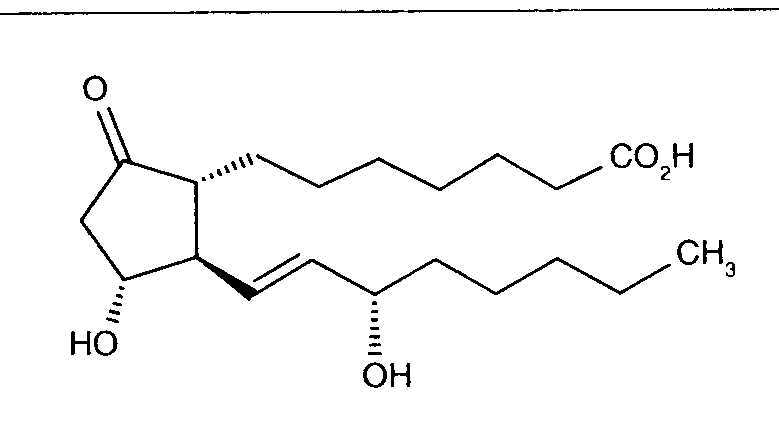
   Molekylstruktur  

Varunamn   Varunamn     

Angivna handelsnamn på läkemedel är enbart vägledande då formulering inklusive hjälpämnen kan variera mellan länder och tillverkare

Alfaprostin Egypten
Alistint Mexiko, Peru
Alprostadil Argentina, Australien, Chile, Ecuador, Förenta Staterna, Kanada, Malaysia, Peru, Rumänien, Saudi-Arabien, Spanien, Turkiet, Tyskland
Alprostapint Argentina, Colombia, Ecuador, Österrike, Peru, Ungern
Alprostar Italien
Aplicav
Cardiobonisol Polen
Caverject Belgien, Brasilien, Chile, Colombia, Danmark, Förenade Arabemiraten, Förenta Staterna, Frankrike, Italien, Kanada, Norge, Österrike, Polen, Portugal, Schweiz, Slovenien, Spanien, Storbritannien, Sverige, Turkiet
Edex Förenta Staterna, Frankrike, Grekland, Tunisien
Liple Japan
Minprog Österrike, Tyskland
Ostapint Mexiko, Peru
Palux Japan
Pridax Österrike, Rumänien, Spanien, Tyskland
Prolisina VR Argentina
Prostandin Japan
Prostavasin Egypten, Iran, Italien, Luxemburg, Österrike, Polen, Tyskland, Ungern
Prostin VR Belgien, Colombia, Danmark, Finland, Förenta Staterna, Grekland, Iran, Italien, Kanada, Kroatien, Luxemburg, Malaysia, Nederländerna, Norge, Polen, Portugal, Saudi-Arabien, Schweiz, Storbritannien, Ungern, Venezuela
Prostine VR Frankrike
Vasaprostan Rumänien
Administreringssätt   Administreringssätt :Alprostadil     
Voie
Långtidsinfusion

  Mentions Légales