Ultimo aggiornamento :
27/01/2026
Vasodilatatore   Alprostadil  
Iniezione
Stabilità in soluzione Stabilità in miscela Fattori che influenzano la stabilità Compatibilità metodo di iniezione Bibliografia pdf
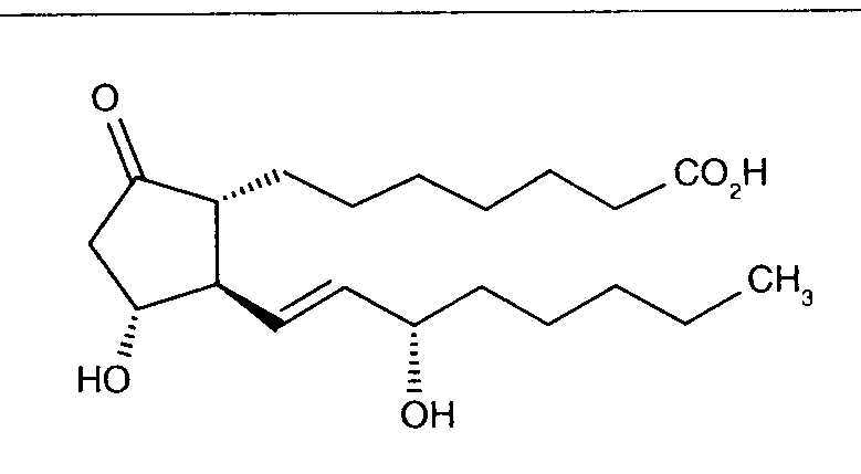
   Struttura chimica  

Nome commerciale   Nome commerciale     

Trade names are indicative and excipients composition can be different depending on the country and manufacturers

Alfaprostin Egitto
Alistint Messico, Perù
Alprostadil Arabia Saudita, Argentina, Australia, Canada, Chile, Ecuador, Germania, Malaysia, Perù, Romania, Spagna, Stati Uniti d’America, Turchia
Alprostapint Argentina, Austria, Colombia, Ecuador, Perù, Ungheria
Alprostar Italia
Aplicav
Cardiobonisol Polonia
Caverject Austria, Belgio, Brasile, Canada, Chile, Colombia, Danimarca, Emirati Arabi Uniti, Francia, Gran Bretagna, Italia, Norvegia, Polonia, Portogallo, Slovenia, Spagna, Stati Uniti d’America, Svezia, Svizzera, Turchia
Edex Francia, Grecia, Stati Uniti d’America, Tunisia
Liple Giappone
Minprog Austria, Germania
Ostapint Messico, Perù
Palux Giappone
Pridax Austria, Germania, Romania, Spagna
Prolisina VR Argentina
Prostandin Giappone
Prostavasin Austria, Egitto, Germania, Iran, Italia, Lussemburgo, Polonia, Ungheria
Prostin VR Arabia Saudita, Belgio, Canada, Colombia, Croazia, Danimarca, Finlandia, Gran Bretagna, Grecia, Iran, Italia, Lussemburgo, Malaysia, Norvegia, Paesi Bassi, Polonia, Portogallo, Stati Uniti d’America, Svizzera, Ungheria, Venezuela
Prostine VR Francia
Vasaprostan Romania
metodo di iniezione   metodo di iniezione :Alprostadil     
Voie
Flebo continua

  Mentions Légales