Pēdējā atjaunošana :
27/01/2026
Vazodiletators   Alprostadil  
Injekcija
Šķīduma stabilitāte Maisījuma stabilitāte Stabilitāti ietekmējoši faktori Saderība Levadīšanas veids Literatūras saraksts pdf
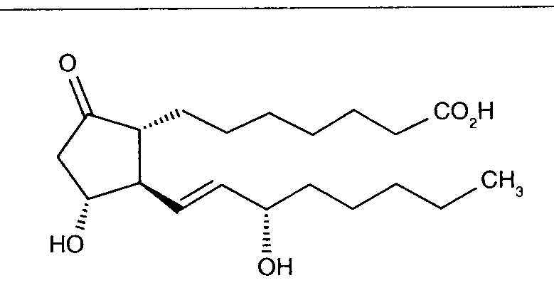
   Ķīmiskā uzbūve   

Oriģinālais nosaukums   Oriģinālais nosaukums     

Tirdzniecības nosaukumi ir apzīmējoši un palīgvielas var atšķirties dažādām valstīm un laboratorijām

Alfaprostin Ēģipte
Alistint Meksika, Peru
Alprostadil Amerikas Savienotās Valstis, Argentīna, Austrālija, Čīle, Ekvadora, Kanāda, Malaizija, Peru, Rumānija, Saūda Arābija, Spānija, Turcija, Vācija
Alprostapint Argentīna, Austrija, Ekvadora, Kolumbija, Peru, Ungārija
Alprostar Itālija
Aplicav
Cardiobonisol Polija
Caverject Amerikas Savienotās Valstis, Apvienotie Arābu Emirāti, Austrija, Beļģija, Brazīlija, Čīle, Dānija, Francija, Itālija, Kanāda, Kolumbija, Lielbritānija, Norvēģija, Polija, Portugāle, Slovēnija, Spānija, Šveice, Turcija, Zviedrija
Edex Amerikas Savienotās Valstis, Francija, Grieķija, Tunisija
Liple Japāna
Minprog Austrija, Vācija
Ostapint Meksika, Peru
Palux Japāna
Pridax Austrija, Rumānija, Spānija, Vācija
Prolisina VR Argentīna
Prostandin Japāna
Prostavasin Austrija, Ēģipte, Irāna, Itālija, Luksemburga, Polija, Ungārija, Vācija
Prostin VR Amerikas Savienotās Valstis, Beļģija, Dānija, Grieķija, Holande, Horvātija, Irāna, Itālija, Kanāda, Kolumbija, Lielbritānija, Luksemburga, Malaizija, Norvēģija, Polija, Portugāle, Saūda Arābija, Somija, Šveice, Ungārija, Venecuēla
Prostine VR Francija
Vasaprostan Rumānija
Levadīšanas veids   Levadīšanas veids :Alprostadil     
Voie
Ilgstoša  infūzija

  Mentions Légales