viimane versioon :
27/04/2026
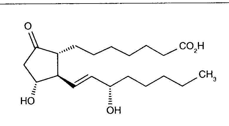
vasodilataator   Alprostadil  
Süsteravim
Stabiilsus lahustes Stabiilsust mõjutavad tegurid stabiilsust mõjutavad faktorid Sobimatus Manustamis viis Viited pdf
   keemiline struktuur  

Kaubanduslikud nimed erinevates maades   Kaubanduslikud nimed erinevates maades     

Preparaatide nimed on näitlikud ja abianete sisaldus võib erineda sõltuvalt riigist ja laborist

Alfaprostin Egiptus
Alistint Maroko, Mehhiko
Alprostadil Ameerika ühendriigid, Argentiina, Austraalia, Ecuador, Hispaania, Kanada, Malaisia, Maroko, Rumeenia, Saksamaa, Saudi Araabia, Tšiili, Türgi
Alprostapint Argentiina, Austria, Ecuador, Kolumbia, Maroko, Ungari
Alprostar Itaalia
Aplicav
Cardiobonisol Poola
Caverject Ameerika ühendriigid, Araabia Ühendemiraadid, Austria, Belgia, Brasiilia, Hispaania, Itaalia, Kanada, Kolumbia, Norra, Poola, Portugal, Prantsusmaa, Rootsi, Sloveenia, Suurbritannia, Sveits, Taani, Tšiili, Türgi
Edex Ameerika ühendriigid, Kreeka, Prantsusmaa, Tuneesia
Liple Jaapan
Minprog Austria, Saksamaa
Ostapint Maroko, Mehhiko
Palux Jaapan
Pridax Austria, Hispaania, Rumeenia, Saksamaa
Prolisina VR Argentiina
Prostandin Jaapan
Prostavasin Austria, Egiptus, Iraan, Itaalia, Luksemburg, Poola, Saksamaa, Ungari
Prostin VR Ameerika ühendriigid, Belgia, Holland, Horvaatia, Iraan, Itaalia, Kanada, Kolumbia, Kreeka, Luksemburg, Malaisia, Norra, Poola, Portugal, Saudi Araabia, Soome, Suurbritannia, Sveits, Taani, Ungari, Venetsueela
Prostine VR Prantsusmaa
Vasaprostan Rumeenia

stabiilsust mõjutavad faktorid   Süsteravim   stabiilsust mõjutavad faktorid : Alprostadil        
andmed puuduvad

  Mentions Légales