Poslední aktualizace :
27/11/2025
Vasodilatans   Alprostadil  
injekce
Stabilita roztoků Stabilita směsí Faktory ovlivňující stabilitu Kompatibilita Způsoby aplikace Odkazy pdf
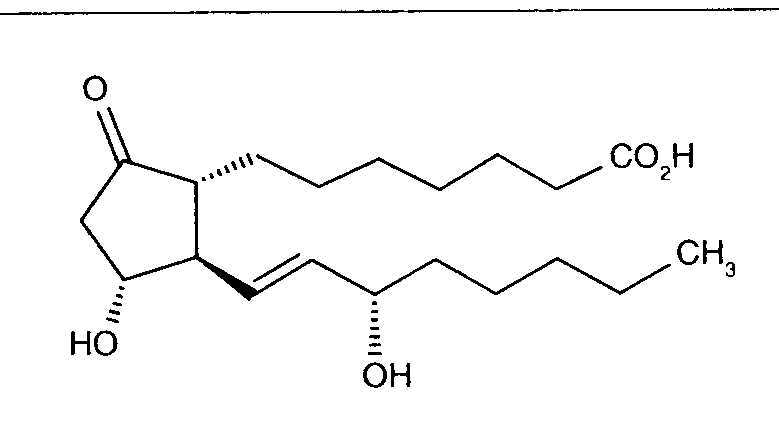
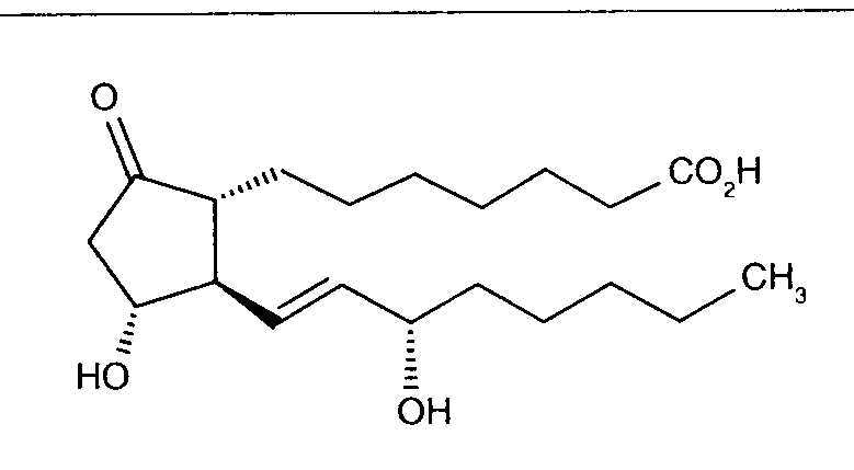
   Chemický vzorec  

Obchodní název   Obchodní název     

Trade names are indicative and excipients composition can be different depending on the country and manufacturers

Alfaprostin Egypt
Alistint Mexiko, Peru
Alprostadil äpanÏlsko, Argentina, Austrálie, Chile, Ekvádor, Kanada, Malajsie, NÏmecko, Peru, Rumunsko, Saúdská Arábie, Turecko, USA
Alprostapint Argentina, Ekvádor, Kolumbie, MaÔarsko, Peru, Rakousko
Alprostar Itálie
Aplicav
Cardiobonisol Polsko
Caverject äpanÏlsko, Belgie, BrazÌlie, Chile, Dánsko, Francie, Itálie, Kanada, Kolumbie, Norsko, Polsko, Portugalsko, Rakousko, Slovinsko, Spojené arabské emiráty, Švédsko, Švýcarsko, Turecko, USA, Velká Británie
Edex Francie, Tunisko, USA, ÿecko
Liple Japonsko
Minprog NÏmecko, Rakousko
Ostapint Mexiko, Peru
Palux Japonsko
Pridax äpanÏlsko, NÏmecko, Rakousko, Rumunsko
Prolisina VR Argentina
Prostandin Japonsko
Prostavasin Egypt, Írán, Itálie, Lucembursko, MaÔarsko, NÏmecko, Polsko, Rakousko
Prostin VR Belgie, Chorvatsko, Dánsko, Finsko, Írán, Itálie, Kanada, Kolumbie, Lucembursko, Malajsie, MaÔarsko, Nizozemsko, Norsko, Polsko, Portugalsko, Saúdská Arábie, Švýcarsko, USA, Velká Británie, Venezuela, ÿecko
Prostine VR Francie
Vasaprostan Rumunsko

Faktory ovlivňující stabilitu   injekce   Faktory ovlivňující stabilitu : Alprostadil        
žádná data

  Mentions Légales