最新更新 :
27/11/2025
扩张血管药   Alprostadil  
注射液
溶液稳定性 混合物稳定性 影响稳定性的因素 兼容性 用药途径 引用文献 PDF
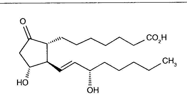
   化学式  

商品名   商品名     

商品名仅供参考, 药品所用的辅料可能依国家或厂商不同有所不同。

Alfaprostin 埃及
Alistint 墨西哥, 秘鲁
Alprostadil 加拿大, 厄瓜多尔, 土耳其, 德国, 智利, 沙特阿拉伯, 澳大利亚, 秘鲁, 罗马尼亚, 美国, 西班牙, 阿根廷, 马来西亚
Alprostapint 匈牙利, 厄瓜多尔, 哥伦比亚, 奥地利, 秘鲁, 阿根廷
Alprostar 意大利
Aplicav
Cardiobonisol 波兰
Caverject 丹麦, 加拿大, 哥伦比亚, 土耳其, 奥地利, 巴西, 意大利, 挪威, 斯洛文尼亚, 智利, 比利时, 法国, 波兰, 瑞典, 瑞士, 美国, 英国, 葡萄牙, 西班牙, 阿联酋
Edex 希腊, 法国, 突尼斯, 美国
Liple 日本
Minprog 奥地利, 德国
Ostapint 墨西哥, 秘鲁
Palux 日本
Pridax 奥地利, 德国, 罗马尼亚, 西班牙
Prolisina VR 阿根廷
Prostandin 日本
Prostavasin 伊朗, 匈牙利, 卢森堡, 埃及, 奥地利, 德国, 意大利, 波兰
Prostin VR 丹麦, 伊朗, 克罗地亚, 加拿大, 匈牙利, 卢森堡, 哥伦比亚, 委内瑞拉, 希腊, 意大利, 挪威, 比利时, 沙特阿拉伯, 波兰, 瑞士, 美国, 芬兰, 英国, 荷兰, 葡萄牙, 马来西亚
Prostine VR 法国
Vasaprostan 罗马尼亚

影响稳定性的因素   注射液   影响稳定性的因素 : Alprostadil        
无数据

  Mentions Légales