Siste oppdatering :
27/04/2026
Antibiotika   Azithromycine  
Injeksjon
Salver
Oppløsningsstabilitet Stabilitet i blandinger Faktorer som påvirker stabiliteten Kompatibilitet Administrasjonsmåte Referanser pdf
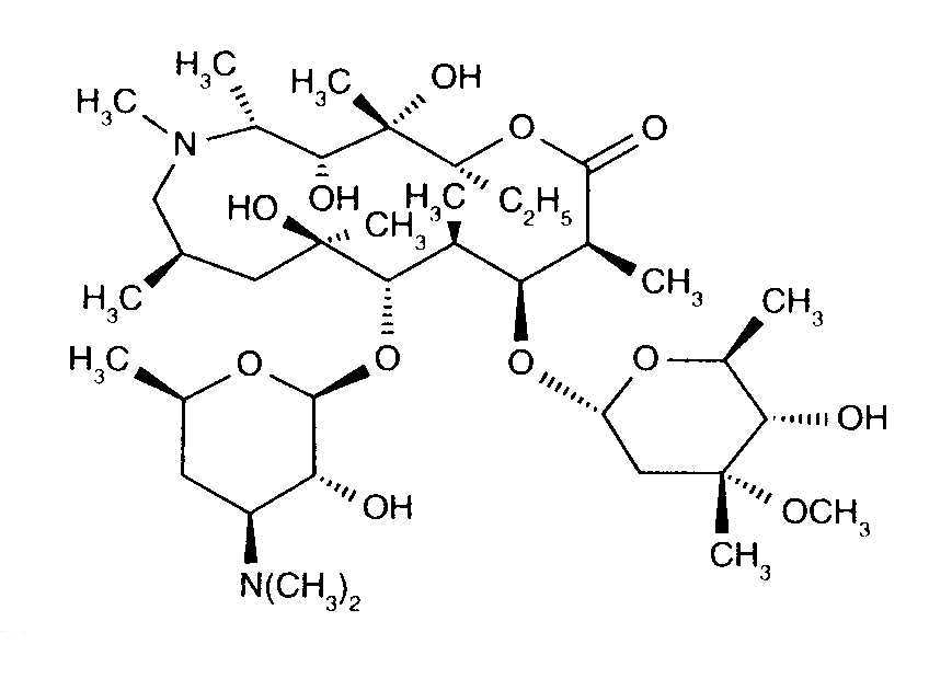
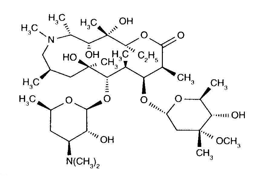
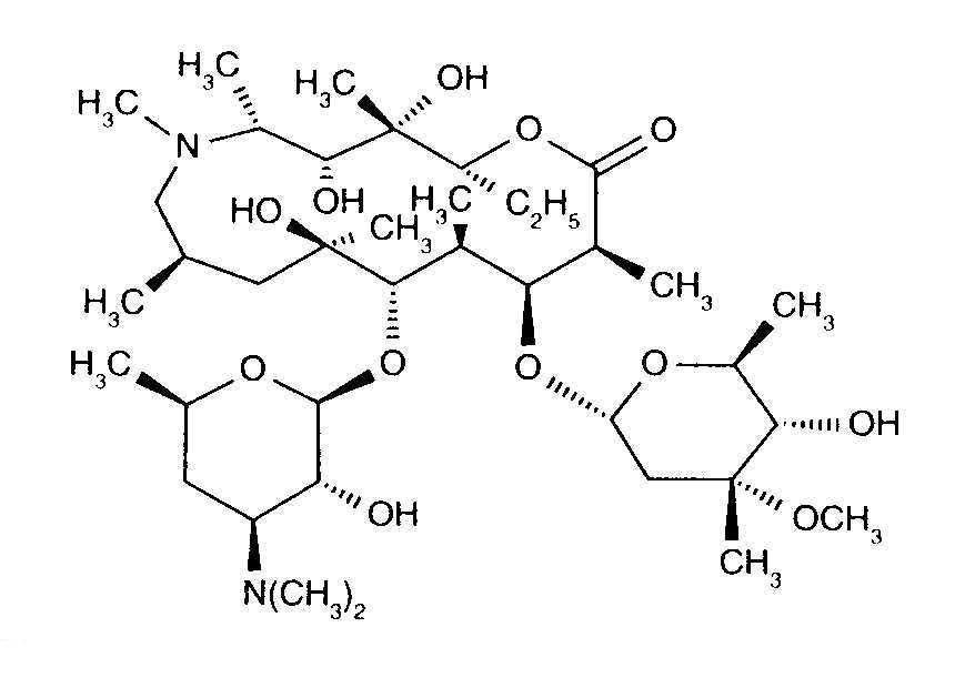
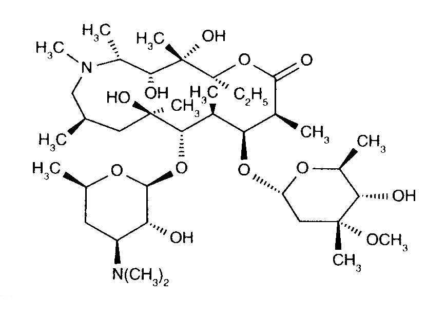
   Kjemisk struktur  

Handelsnavn   Handelsnavn     

Handelsnavn er veiledende og sammensetning av hjelpestoffer kan være forskjellig avhengig av land og produsent

Azithromycin Canada
Azithromycina Ecuador
Azithromycine Dr Erbeth Tyskland
Azitromax Sverige
Sumamed Polen, Ungarn
Zaret Colombia
Zedbac Irland, Storbritannia
Zetamac Czech Republic
Zithromac Japan
Zithromax Australia, Canada, Chile, De forente arabiske emirater, Egypt, Finland, Malaysia, Portugal, Saudi-Arabia, USA
Oppløsningsstabilitet   Injeksjon   Oppløsningsstabilitet : Azithromycine     
Ingen opplysninger

  Mentions Légales