最新更新 :
27/04/2026
抗生素   Azithromycine  
注射液
药膏
溶液稳定性 混合物稳定性 影响稳定性的因素 兼容性 用药途径 引用文献 PDF
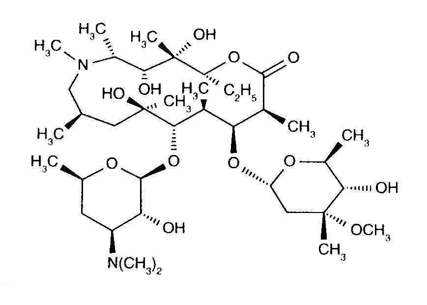
   化学式  

商品名   商品名     

商品名仅供参考, 药品所用的辅料可能依国家或厂商不同有所不同。

Azithromycin 加拿大
Azithromycina 厄瓜多尔
Azithromycine Dr Erbeth 德国
Azitromax 瑞典
Sumamed 匈牙利, 波兰
Zaret 哥伦比亚
Zedbac 爱尔兰, 英国
Zetamac 捷克共和國
Zithromac 日本
Zithromax 加拿大, 埃及, 智利, 沙特阿拉伯, 澳大利亚, 美国, 芬兰, 葡萄牙, 阿联酋, 马来西亚
溶液稳定性   注射液   溶液稳定性 : Azithromycine     
无数据

  Mentions Légales