viimane versioon :
05/12/2025
Infostab
ingredientide nimekiri
nimekiri
Sobivus otsing
Y-liini sobivuse tabel
Viited
uurimisrühmad
valistab
plakat
Sidemed
sponsorid
Autor
Kasutusjuhend
ajakiri
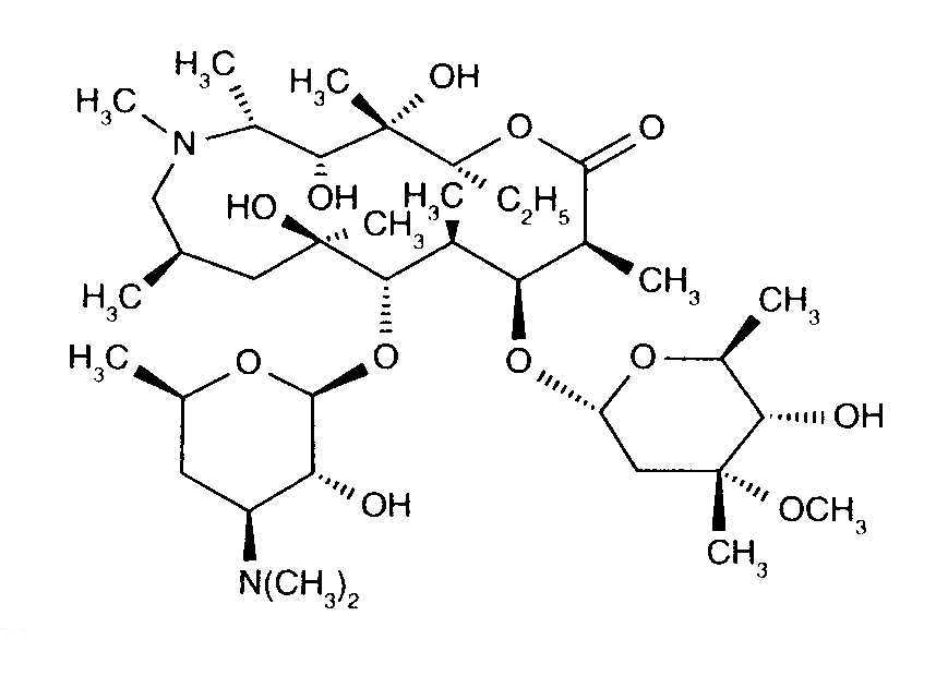
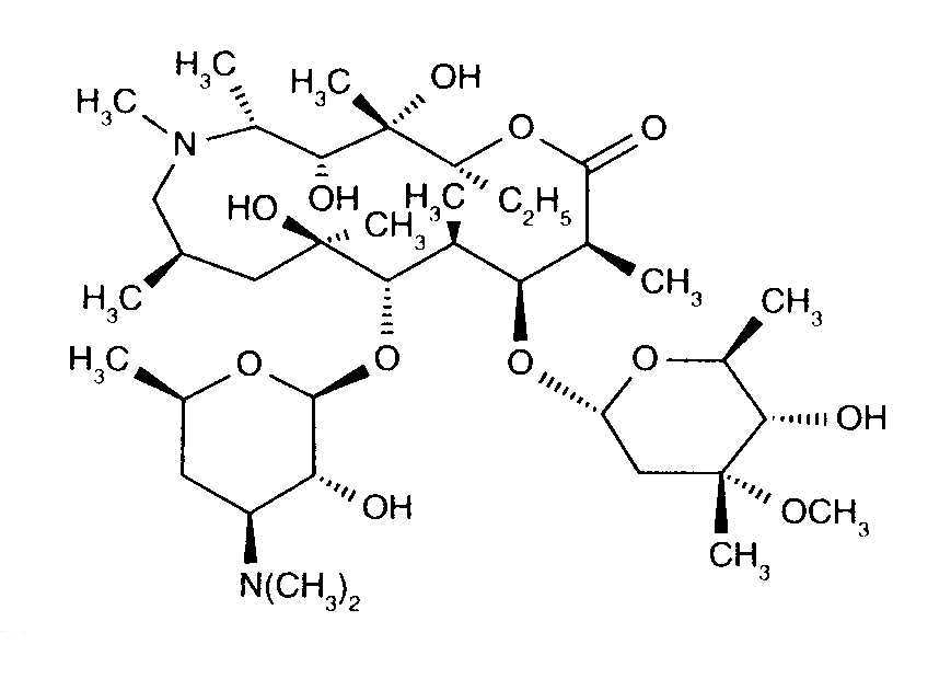
Azithromycine
keemiline struktuur
Kaubanduslikud nimed erinevates maades
Preparaatide nimed on näitlikud ja abianete sisaldus võib erineda sõltuvalt riigist ja laborist
Azithromycin
Kanada
Azithromycina
Ecuador
Azithromycine Dr Erbeth
Saksamaa
Azitromax
Rootsi
Sumamed
Poola, Ungari
Zaret
Kolumbia
Zedbac
Iirimaa, Suurbritannia
Zetamac
Tšehhi
Zithromac
Jaapan
Zithromax
Ameerika ühendriigid, Araabia Ühendemiraadid, Austraalia, Egiptus, Kanada, Malaisia, Portugal, Saudi Araabia, Soome, Tšiili
Stabiilsus lahustes : Azithromycine
andmed puuduvad
Mentions Légales