Ultimele actualizari :
27/01/2026
Antibiotic   Azithromycine  
Injectabil
Unguente
Stabilitatea in solutie Stabilitatea in amestec Factorii care influenteaza stabilitatea Compatibilitate Microunde Bibliografie pdf
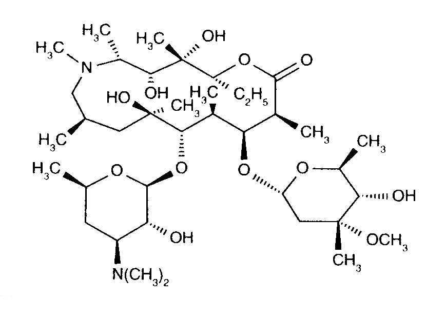
   Formula chimica  

Denumirea comerciala   Denumirea comerciala     

Trade names are indicative and excipients composition can be different depending on the country and manufacturers

Azithromycin Canada
Azithromycina Ecuador
Azithromycine Dr Erbeth Germania
Azitromax Suedia
Sumamed Polonia, Ungaria
Zaret Columbia
Zedbac Irlanda, Marea Britanie
Zetamac Republica Cehă
Zithromac Japonia
Zithromax Arabia Saudita, Australia, Canada, Chilli, Egipt, Emiratele Arabe Unite, Finlanda, Malaezia, Portugalia, SUA
Stabilitatea in amestec   Injectabil   Stabilitatea in amestec : Azithromycine     
Absenta de date

  Mentions Légales