Zadnji put ažurirano :
27/01/2026
antibiotik   Azithromycine  
injekcija
masti
Stabilizacija rješenja Stabilnost mješavine Stabilizacijski faktor Kompatibilnosti način davanja lijeka Bibliografija pdf
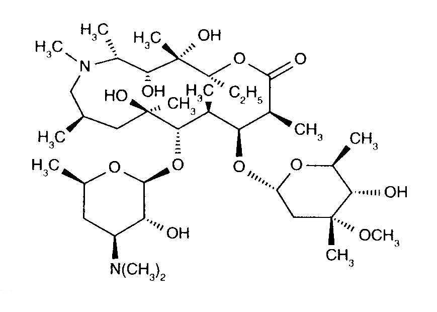
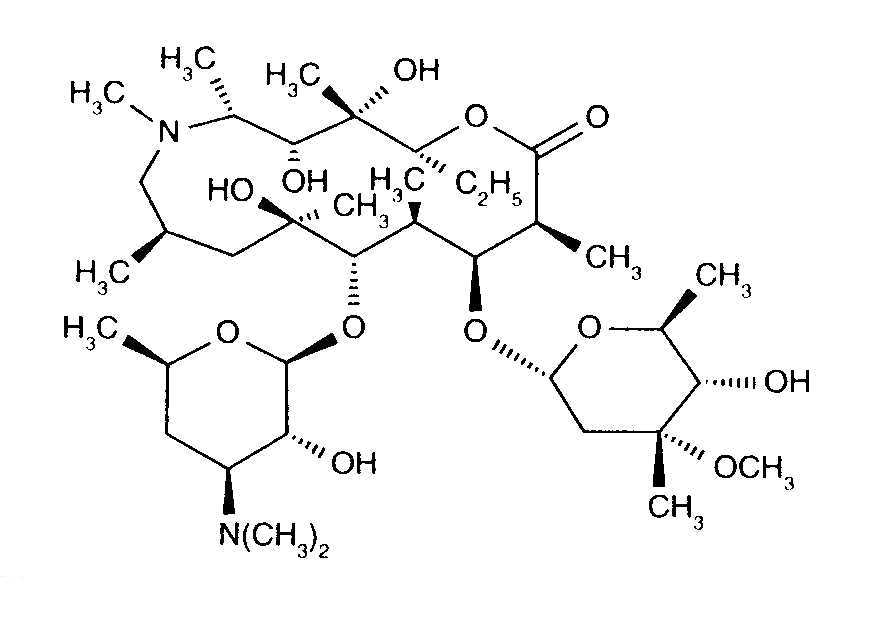
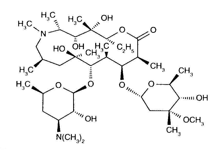
   Kemijska struktura  

Nekomercijalni   Nekomercijalni     

Zaštićeni nazivi su indikativni i sastav ekscipijensa može biti različit ovisno o državi i laboratorijima

Azithromycin Kanada
Azithromycina Ekvador
Azithromycine Dr Erbeth Njemačka
Azitromax Švedska
Sumamed Madžarska, Poljska
Zaret Kolumbija
Zedbac Irska, Velika Britanija
Zetamac Češka
Zithromac Japan
Zithromax Australija, Čile, Egipat, Finska, Kanada, Malezija, Portugal, S A D, Saudijska Arabija, Ujedinjeni Arapski Emirati
Stabilnost mješavine   injekcija   Stabilnost mješavine : Azithromycine     
bez podataka

  Mentions Légales