Dernière mise à jour :
27/01/2026
Antibiotique   Azithromycine  
injectable
Forme dermique
Stabilité des solutions Stabilité en mélange Facteur influençant la stabilité Compatibilités Voie d’administration Bibliographie pdf
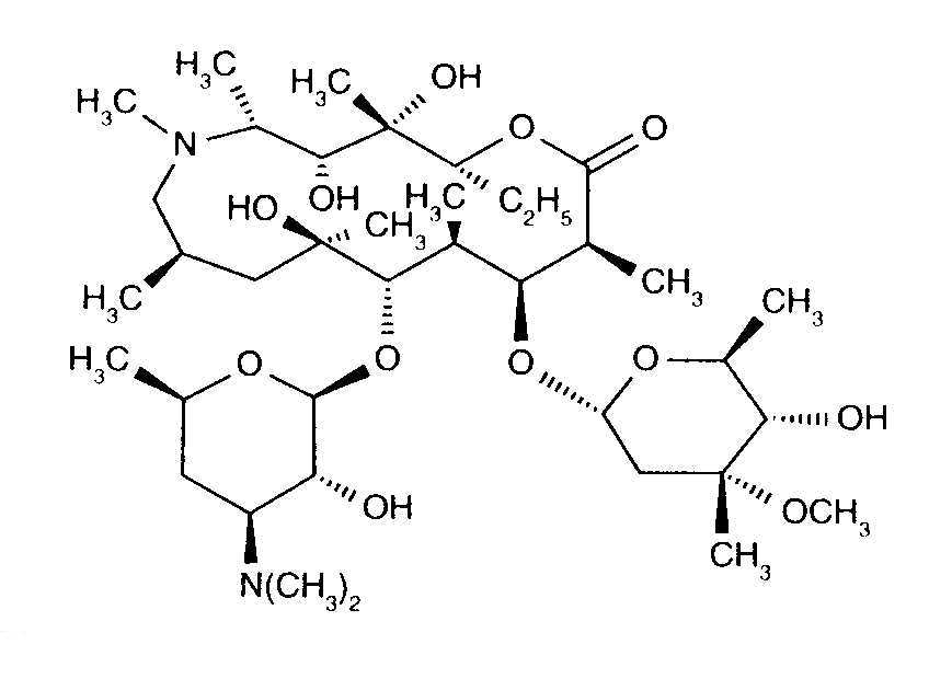
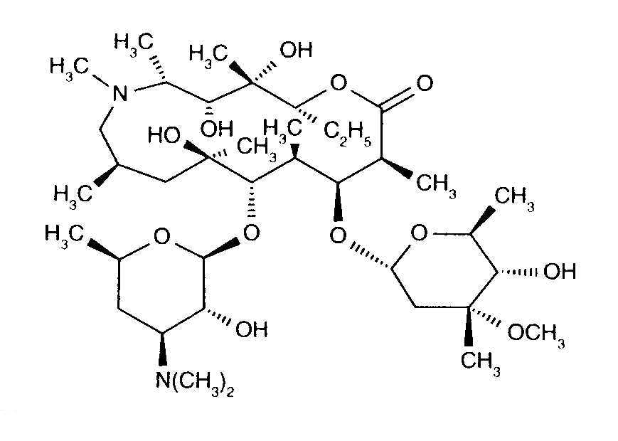
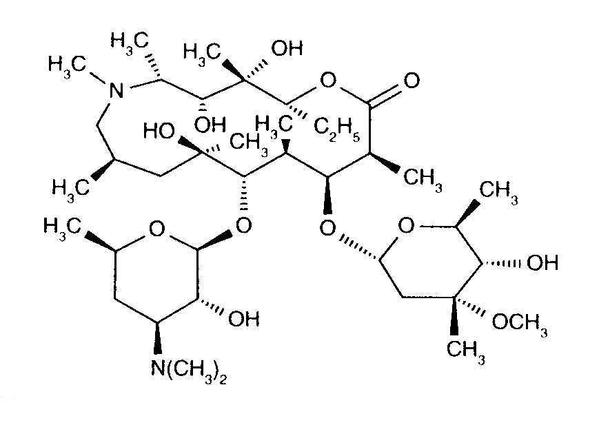
   Structure chimique  

Noms commerciaux   Noms commerciaux     

Les noms commerciaux sont donnés à titre indicatif et la composition en excipients peut être différente selon les pays et selon les laboratoires

Azithromycin Canada
Azithromycina Equateur
Azithromycine Dr Erbeth Allemagne
Azitromax Suède
Sumamed Hongrie, Pologne
Zaret Colombie
Zedbac Grande Bretagne, Irlande
Zetamac Tchéquie
Zithromac Japon
Zithromax Arabie Saoudite, Australie, Canada, Chili, Egypte, Emirats Arabes Unis , Etats Unis d’Amérique, Finlande, Malaisie, Portugal
Stabilité en mélange   injectable   Stabilité en mélange : Azithromycine     
Aucune donnée

  Mentions Légales