Cập nhật lần cuối :
27/01/2026
Kháng sinh   Azithromycine  
Dạng tiêm
Dạng bôi da
Tính ổn định của các dung dịch Độ ổn định khi trộn lẫn Những yếu tố ảnh hưởng đến độ ổn định Khả năng tương thích Đường dùng Tài liệu tham khảo Pdf
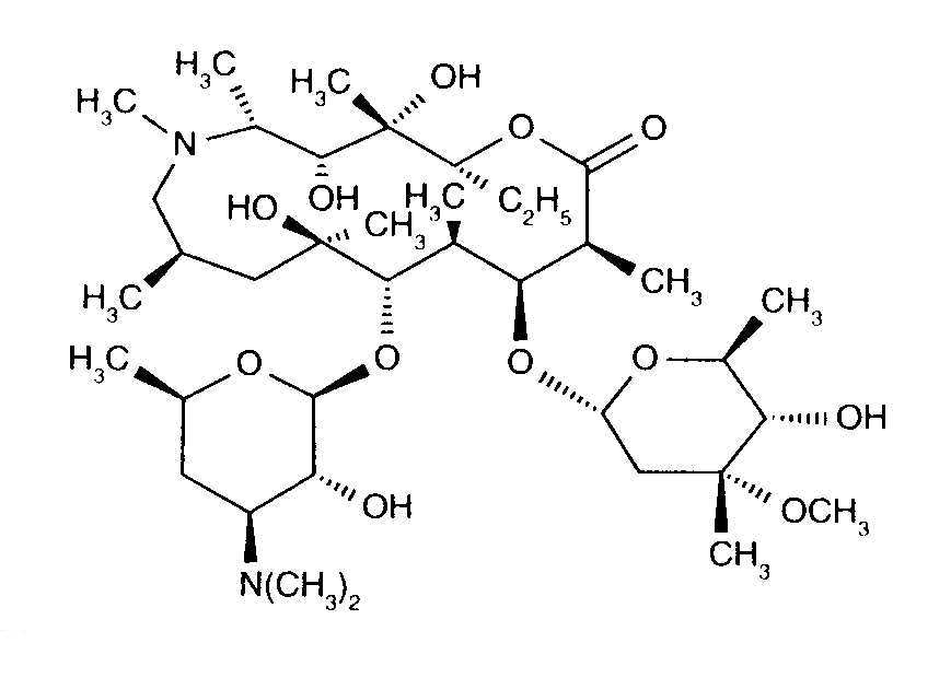
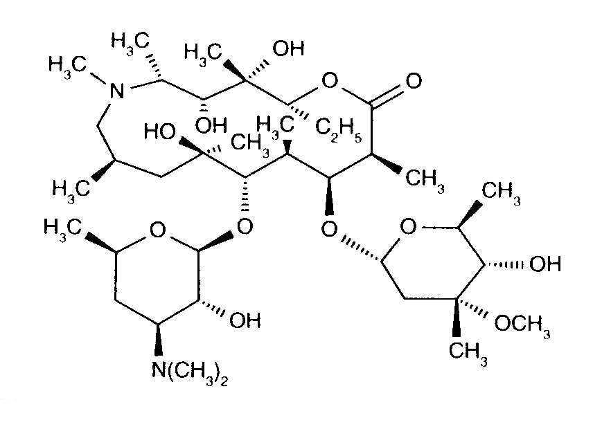
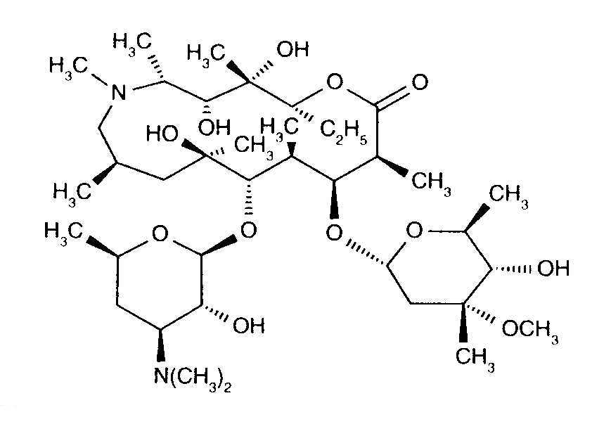
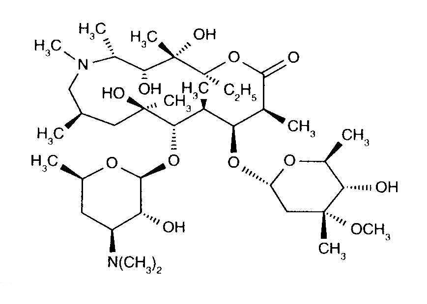
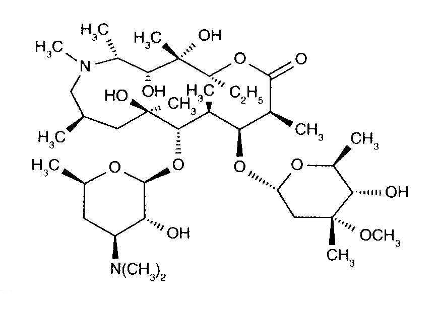
   Cấu trúc hóa học  

Tên thương mại   Tên thương mại     

Các tên thương mại được cung cấp và thành phần tá dược có thể khác nhau giữa các quốc gia và các hãng dược

Azithromycin Canada
Azithromycina Ecuador
Azithromycine Dr Erbeth Đức
Azitromax Thụy Điển
Sumamed Ba Lan, Hungary
Zaret Colombia
Zedbac Anh, Ireland
Zetamac Cộng hòa Séc
Zithromac Nhật
Zithromax Ả Rập, Ả Rập Saudi, Bồ Đào Nha, Canada, Chile, Hoa Kỳ, Malaysia, Phần Lan, Úc, United Arab Emirates

Những yếu tố ảnh hưởng đến độ ổn định   Dạng tiêm   Những yếu tố ảnh hưởng đến độ ổn định : Azithromycine        
Không có dữ liệu

  Mentions Légales