Última actualização :
27/01/2026
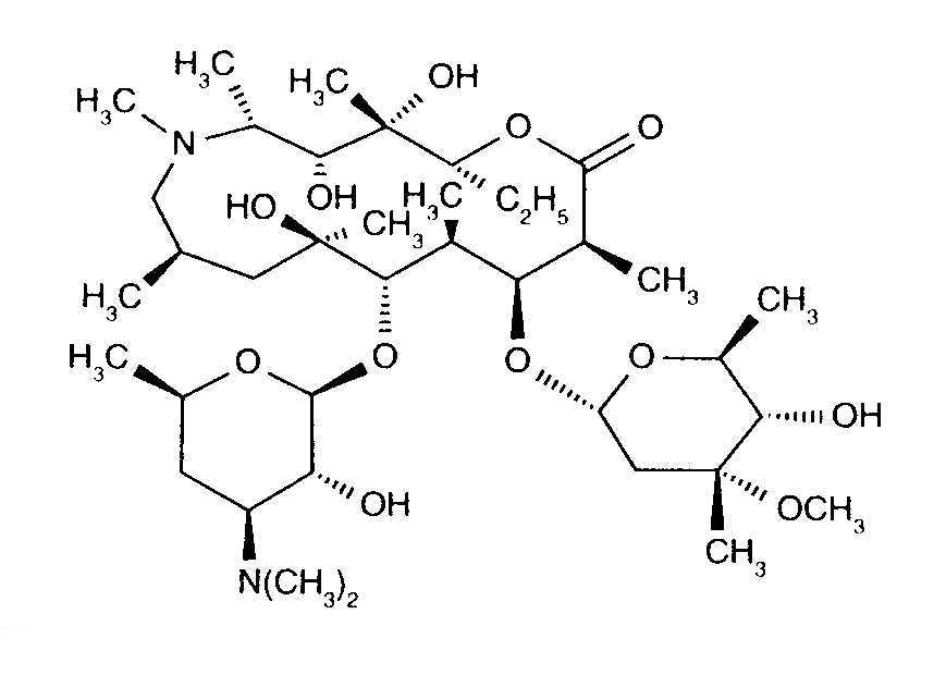
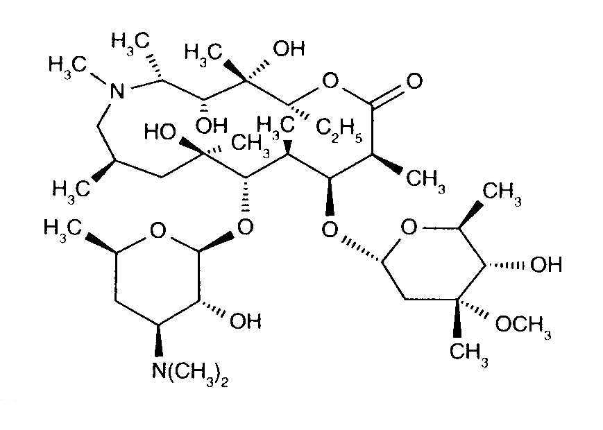
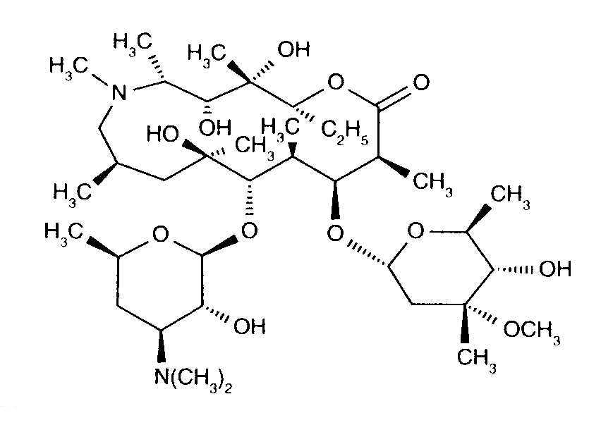
antibiótico   Azithromycine  
injetável
Pomadas
Estabilidade em soluções simples Estabilidade em misturas Factores que afectam a sua estabilidade Compatibilidade Método de administração Bibliografía pdf
   estrutura química  

Nomes comerciais nos diversos países   Nomes comerciais nos diversos países     

OS NOMES COMERCIAIS SÃO INDICATIVOS E OS EXCIPIENTES DA FORMULAÇÃO PODEM SER DIFERENTES CONFORME O PAÍS E FABRICANTE.

Azithromycin Canadá
Azithromycina Equator
Azithromycine Dr Erbeth Alemanha
Azitromax Suècia
Sumamed Hungria, Polonia
Zaret Colômbia
Zedbac Gran-bretanha, Irlanda
Zetamac República Checa
Zithromac Japón
Zithromax Arábia Saudita, Australia, Canadá, Chilli, Egipto, Emirados Árabes Unidos, Estados Unidos de América, Finlandia, Malásia, Portugal

Factores que afectam a sua estabilidade   injetável   Factores que afectam a sua estabilidade : Azithromycine        
Ausência de dados

  Mentions Légales