Utolsó frissítés :
27/01/2026
Antibiotikum   Azithromycine  
Injekció
kenőcs
Az oldatok stabilitása A keverékek stabilitása Stabilitást befolyásoló tényezők Kompatibilitás Az alkalmazás módja Irodalom pdf
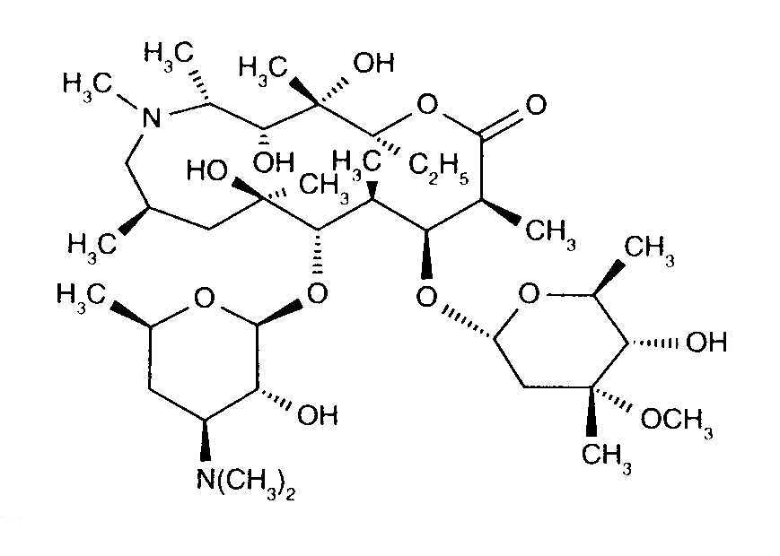
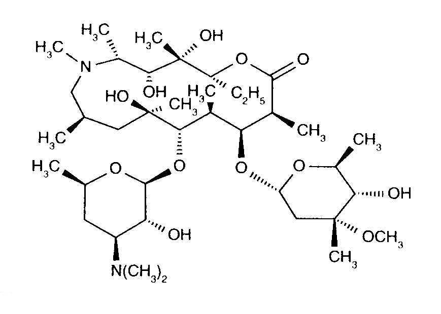
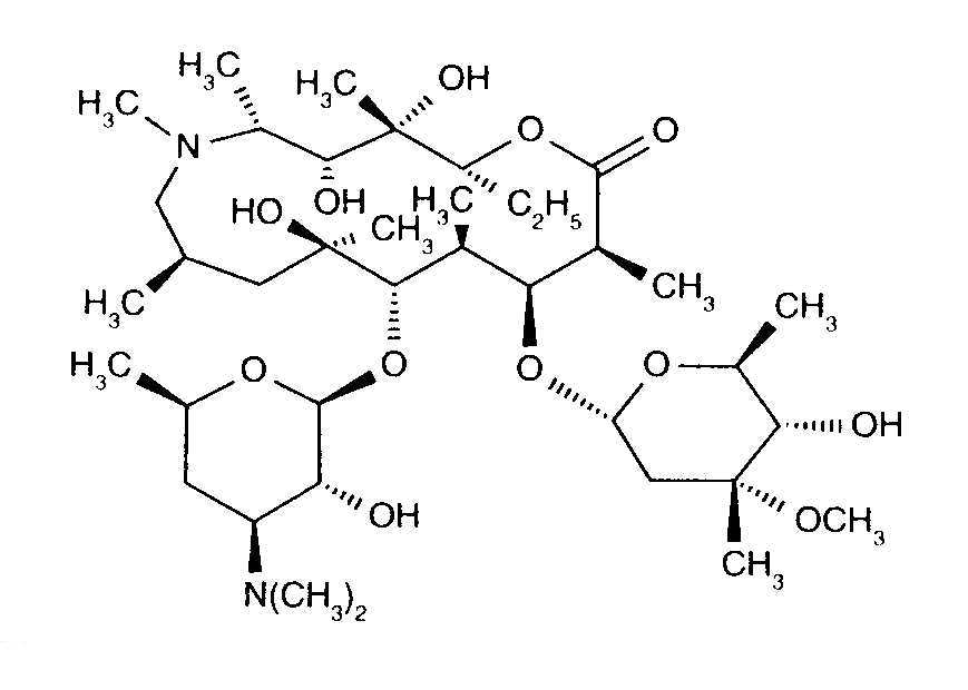
   Kémiai szerkezet   

Kereskedelmi név   Kereskedelmi név     

A kereskedelmi név meghatározó jelentőségű: a készítmények összetétele országonként, előállítóként eltérő lehet

Azithromycin Kanada
Azithromycina Ecuador
Azithromycine Dr Erbeth Németország
Azitromax Svédország
Sumamed Lengyelország, Magyarország
Zaret Colombia
Zedbac Írország, Nagy-Britannia
Zetamac Csehország
Zithromac Japán
Zithromax Amerikai Egyesült Államok, Ausztrália, Chile, Egyesült Arab Emírségek, Egyiptom, Finnország, Kanada, Malaysia, Portugália, Szaúd-Arábiában

Stabilitást befolyásoló tényezők   Injekció   Stabilitást befolyásoló tényezők : Azithromycine        
Hiányzó adat

  Mentions Légales