Senaste uppdateringen :
21/01/2026
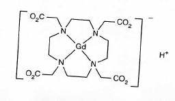
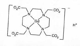
kontrastmedium   Gadoterate meglumine  
injektion
Lösningars stabilitet Stabilitet i blandningar Faktorer som påverkar stabiliteten Kompatibilitet Administreringssätt Hänvisningar pdf
   Molekylstruktur  

Varunamn   Varunamn     

Angivna handelsnamn på läkemedel är enbart vägledande då formulering inklusive hjälpämnen kan variera mellan länder och tillverkare

Artirem Nederländerna, Tyskland
Ciclolux Spanien, Tyskland
Clariscan Belgien, Chile, Finland, Irland, Luxemburg, Norge, Österrike, Peru, Schweiz, Spanien, Sverige, Tyskland, Ungern
Cyclolux Spanien, Tyskland, Ungern
Dotagita Rumänien, Tyskland
Dotagraf Irland, Schweiz, Spanien, Tyskland
Dotarem Argentina, Australien, Belgien, Chile, Colombia, Danmark, Egypten, Finland, Frankrike, Grekland, Iran, Irland, Italien, Luxemburg, Malaysia, Norge, Österrike, Peru, Portugal, Rumänien, Saudi-Arabien, Schweiz, Spanien, Sverige, Tunisien, Turkiet, Tyskland, Ungern, Venezuela
Lösningars stabilitet   injektion   Lösningars stabilitet : Gadoterate meglumine     
Behållare Lösningsmedel Koncentration Temperatur Förvaring Stabilitets varaktighet Hänvisningar
Spruta polypropen Ingen 0,5 mmol/ml 25°C Skyddas från ljus
90 Dag
1679
Evidensnivå A

Spruta polypropen Ingen 0,5 mmol/ml 4°C Skyddas från ljus
90 Dag
1679
Evidensnivå A


  Mentions Légales