Viimeisin päivitys :
27/04/2026
varjoaine   Gadoterate meglumine  
Injektioneste
Stabilius liuoksessa Stabilius seoksissa Tekijät, jotka vaikuttavat stabiliuteen Yhteensopivuus Antotapa Viitteet pdf
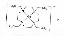
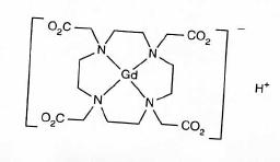
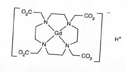
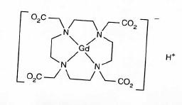
   Kemiallinen rakenne  

Kauppanimi   Kauppanimi     

Trade names are indicative and excipients composition can be different depending on the country and manufacturers

Artirem Hollanti, Saksa
Ciclolux Espanja, Saksa
Clariscan Belgia, Chile, Espanja, Irlanti, Itävalta, Luxemburg, Marokko, Norja, Ruotsi, Saksa, Suomi, Sveitsi, Unkari
Cyclolux Espanja, Saksa, Unkari
Dotagita Romania, Saksa
Dotagraf Espanja, Irlanti, Saksa, Sveitsi
Dotarem Argentiina, Australia, Belgia, Chile, Egypti, Espanja, Iran, Irlanti, Italia, Itävalta, Kolumbia, Kreikka, Luxemburg, Malesia, Marokko, Norja, Portugali, Ranska, Romania, Ruotsi, Saksa, Saudi-Arabia, Suomi, Sveitsi, Tanska, Tunisia, Turkki, Unkari, Venezuela
Stabilius liuoksessa   Injektioneste   Stabilius liuoksessa : Gadoterate meglumine     
Astia Liuotin Konsentraatio Lämpötila Säilytys Vakauden kesto Viitteet
Ruisku  polypropeeni Ei mikään 0,5 mmol/ml 25°C Suojattava valolta
90 Päivä
1679
Näytön laajuus A

Ruisku  polypropeeni Ei mikään 0,5 mmol/ml 4°C Suojattava valolta
90 Päivä
1679
Näytön laajuus A


  Mentions Légales