Ultimo aggiornamento :
21/01/2026
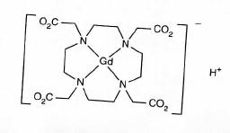
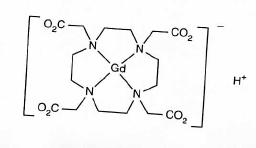
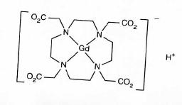
mezzo di contrasto   Gadoterate meglumine  
Iniezione
Stabilità in soluzione Stabilità in miscela Fattori che influenzano la stabilità Compatibilità metodo di iniezione Bibliografia pdf
   Struttura chimica  

Nome commerciale   Nome commerciale     

Trade names are indicative and excipients composition can be different depending on the country and manufacturers

Artirem Germania, Paesi Bassi
Ciclolux Germania, Spagna
Clariscan Austria, Belgio, Chile, Finlandia, Germania, Irlanda, Lussemburgo, Norvegia, Perù, Spagna, Svezia, Svizzera, Ungheria
Cyclolux Germania, Spagna, Ungheria
Dotagita Germania, Romania
Dotagraf Germania, Irlanda, Spagna, Svizzera
Dotarem Arabia Saudita, Argentina, Australia, Austria, Belgio, Chile, Colombia, Danimarca, Egitto, Finlandia, Francia, Germania, Grecia, Iran, Irlanda, Italia, Lussemburgo, Malaysia, Norvegia, Perù, Portogallo, Romania, Spagna, Svezia, Svizzera, Tunisia, Turchia, Ungheria, Venezuela
Stabilità in soluzione   Iniezione   Stabilità in soluzione : Gadoterate meglumine     
contenitore Solvente Concentrazione Temperatura Conservazione Durata della stabilità Bibliografia
siringa polipropilene Nessuno 0,5 mmol/ml 25°C Al riparo dalla luce
90 Giorno
1679
Livello di evidenza A

siringa polipropilene Nessuno 0,5 mmol/ml 4°C Al riparo dalla luce
90 Giorno
1679
Livello di evidenza A


  Mentions Légales