Последнее обновление :
21/01/2026
контрастного вещества   Gadoterate meglumine  
Инъекция
Стабильность растворов Стабильность смесей Факторы, которые влияют на стабильность Совместимость Способы введения Библиография pdf
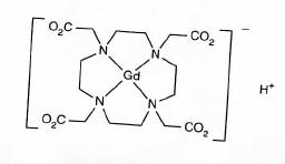
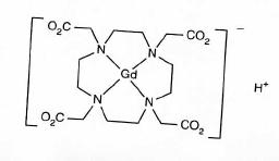
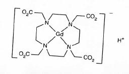
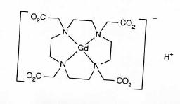
   Химическая структура  

Товарное название   Товарное название     

Trade names are indicative and excipients composition can be different depending on the country and manufacturers

Artirem Германия, Голландия
Ciclolux Германия, Испания
Clariscan Австрия, Бельгия, Венгрия, Германия, Ирландия, Испания, Люксембург, Норвегия, Перу, Финляндия, чили, Швейцария, Швеция
Cyclolux Венгрия, Германия, Испания
Dotagita Германия, Румыния
Dotagraf Германия, Ирландия, Испания, Швейцария
Dotarem Австралия, Австрия, Аргентина, Бельгия, Венгрия, Венесуэла, Германия, Греция, Дания, Египет, Иран, Ирландия, Испания, Италия, Колумбия, Люксембург, Малайзия, Норвегия, Перу, Португалия, Румыния, Саудовская Аравия, Тунис, Турция, Финляндия, Франция, чили, Швейцария, Швеция
Стабильность растворов   Инъекция   Стабильность растворов : Gadoterate meglumine     
Упаковка Растворитель Концентрация Температура Хранение Продолжительность стабильности Ссылки
Шприц полипропилен Нет 0,5 mmol/ml 25°C Защищён от света
90 День
1679
Уровень доказательности A

Шприц полипропилен Нет 0,5 mmol/ml 4°C Защищён от света
90 День
1679
Уровень доказательности A


  Mentions Légales