Laatste update :
27/04/2026
Antibioticum   Amoxicillin sodium / clavulanic acid  
injecteerbaar geneesmiddel
Orale Oplossing
Stabiliteit in oplossing Stabiliteit in mengsels Factoren die de stabiliteit beïnvloeden Verenigbaarheden Toedieningswijze Literatuur pdf
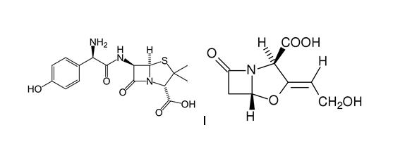
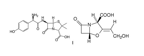
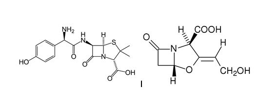
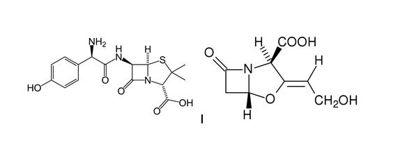
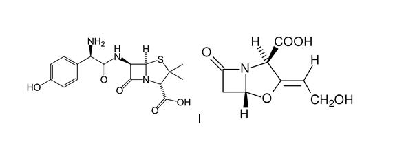
   Molecuulstructuur  

Merknamen in verschillende landen   Merknamen in verschillende landen     

Handelsnamen zijn slechts een indicatie; de samenstelling van hulpstoffen kan per land variëren afhankelijk van de fabrikant

Aktil Hongarije
Amoclan Saudi-Arabië
Amoklavin Turkije
Amoksiklav Polen
Amoxclav Saudi-Arabië
Amplamox Brazilië
Augmentin België, Chili, Ecuador, Frankrijk, Griekenland, Groot Britannië, Italië, Nederland, Oostenrijk, Polen, Saudi-Arabië, Spanje, Turkije, Verenigde Arabische Emiraten, Zwitserland
Betamox Portugal
Clavamox Oostenrijk
Clavicin Maleisië, Venezuela
Clavulin Brazilië
Co-amoxi Zwitserland
Co-Amoxicillin Zwitserland
Curam nieuw Zeeland, Saudi-Arabië
Darzitil Argentinië
Dibional Argentinië
Julmentin Verenigde Arabische Emiraten
Novamox Brazilië
Sulbamox Chili
Tarometin Polen
Trifamox Argentinië, Colombia, Ecuador, Mexico
Toedieningswijze   Toedieningswijze :Amoxicillin sodium / clavulanic acid     
Voie
Intraveneus
Intraveneus infuus
Intraveneus infuus

  Mentions Légales