最新更新 :
27/04/2026
抗菌薬   Amoxicillin sodium / clavulanic acid  
注射薬
経口液
溶媒内の安定性 混合時の安定性 安定性に影響する因子 互換性 投与経路 引用文献 PDF
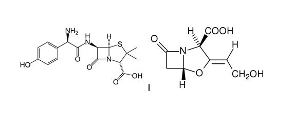
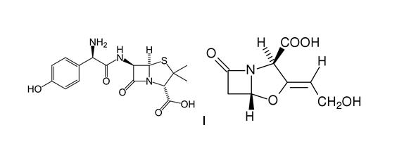
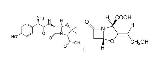
   化学構造  

商品名   商品名     

商品名、賦形剤は国、製薬会社ごとに異なることがあります

Aktil ハンガリー
Amoclan サウジアラビア
Amoklavin トルコ
Amoksiklav ポーランド
Amoxclav サウジアラビア
Amplamox ブラジル
Augmentin アラブ首長国連邦, イギリス, イタリア, エクアドル, オランダ, オーストリア, ギリシア, サウジアラビア, スイス, スペイン, チリ, トルコ, フランス, ベルギー, ポーランド
Betamox ポルトガル
Clavamox オーストリア
Clavicin ベネズエラ, マレーシア
Clavulin ブラジル
Co-amoxi スイス
Co-Amoxicillin スイス
Curam サウジアラビア, ニュージーランド
Darzitil アルゼンチン
Dibional アルゼンチン
Julmentin アラブ首長国連邦
Novamox ブラジル
Sulbamox チリ
Tarometin ポーランド
Trifamox アルゼンチン, エクアドル, コロンビア, メキシコ
投与経路   投与経路 :Amoxicillin sodium / clavulanic acid     
経路
静脈内
点滴静注
点滴静注

  Mentions Légales