Ultimele actualizari :
27/04/2026
Antibiotic   Spiramycine adipate  
Injectabil
Stabilitatea in solutie Stabilitatea in amestec Factorii care influenteaza stabilitatea Compatibilitate Microunde Bibliografie pdf
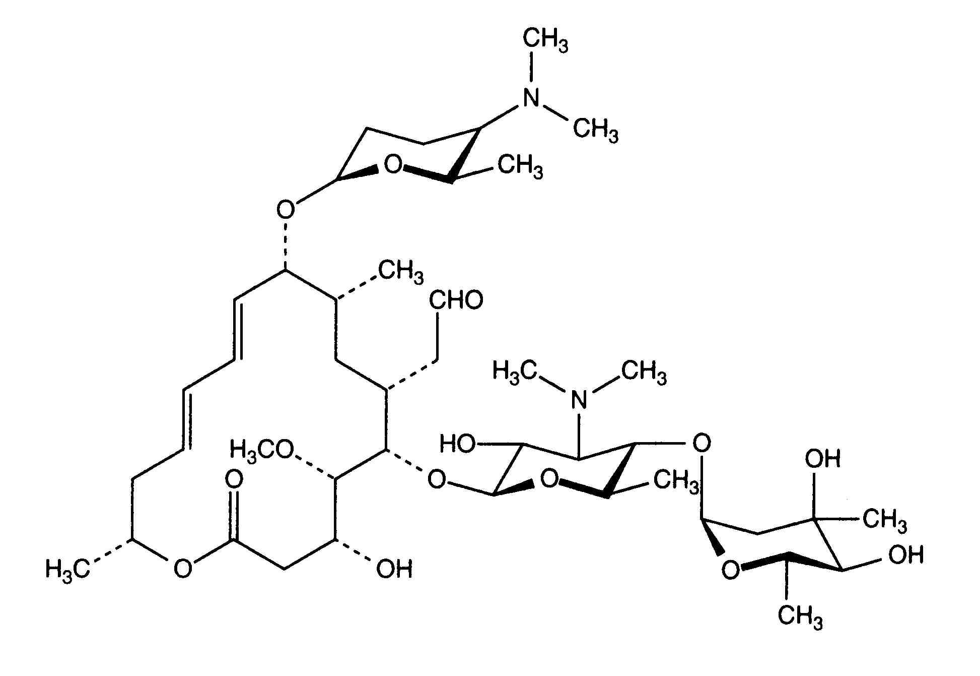
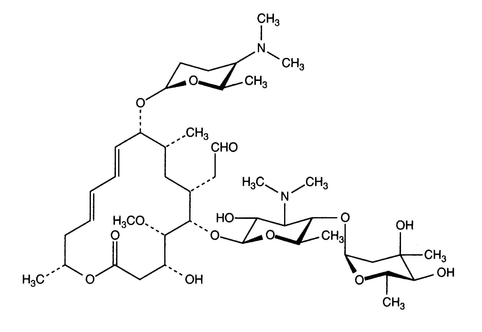
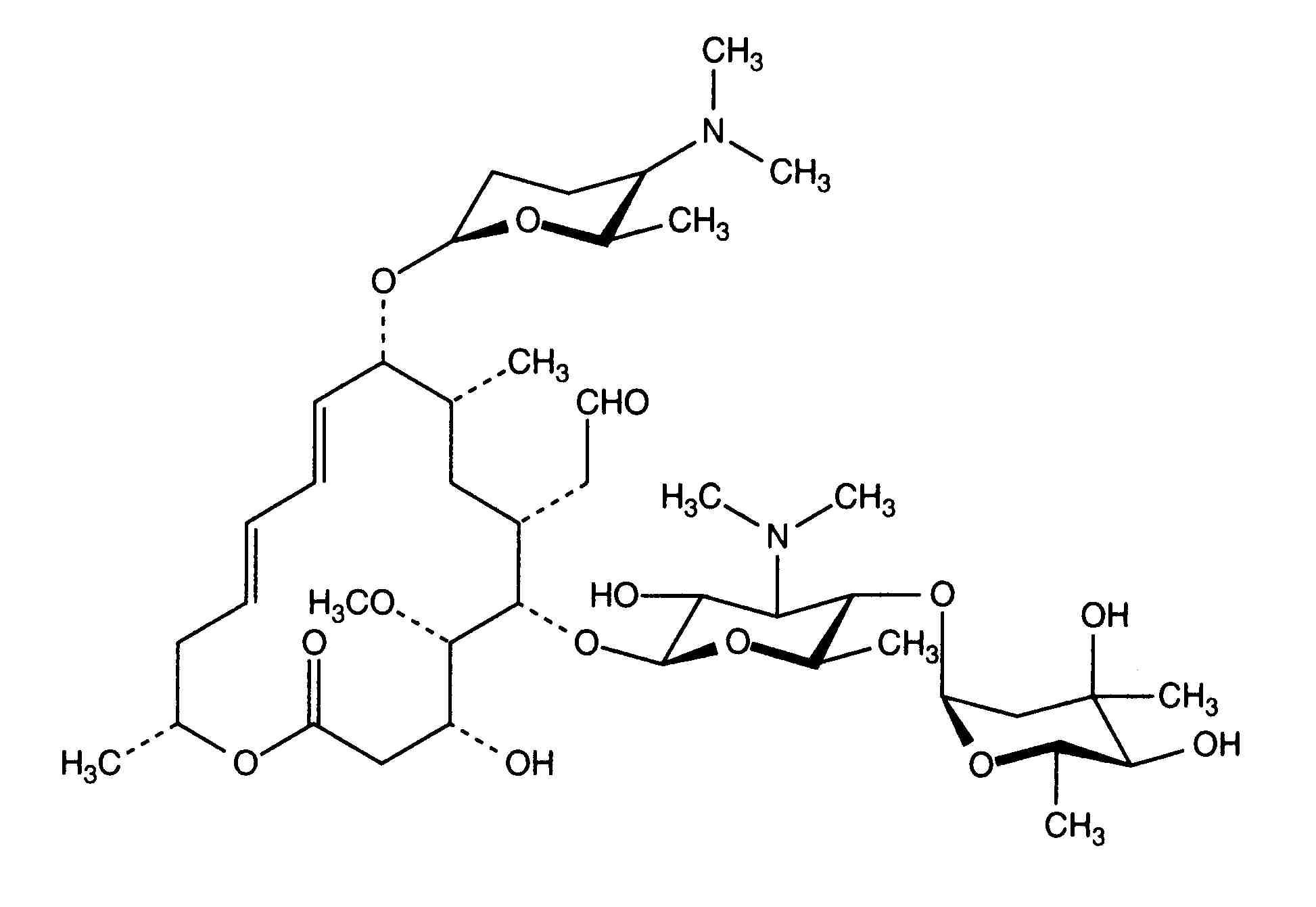
   Formula chimica  

Denumirea comerciala   Denumirea comerciala     

Trade names are indicative and excipients composition can be different depending on the country and manufacturers

Rovamycine Franta, Polonia
Compatibilitate   Injectabil   Compatibilitate : Spiramycine adipate              
Acest ecran indică compatibilitățile sau incompatibilitățile cu, în acest caz, tipul de incompatibilitate (precipitații, schimbarea culorii, modificarea unei emulsii etc.). Compatibilitățile prezentate aici sunt în mare parte numai fizice, stabilitatea chimică a fiecărei molecule fiind rareori evaluată. Evaluarea acestor amestecuri a fost studiată pentru a lua în considerare posibilitatea administrării site-ului Y la pacient. Aceste date nu pot fi utilizate pentru prepararea în prealabil a amestecurilor în pungi sau seringi. Acest tip de informații este disponibil în ecranul „Stabilitate în amestec».
Molecula (substanta activa) Solvent Bibiografie

  Mentions Légales