Ultimo aggiornamento :
27/04/2026
Antibiotico   Spiramycine adipate  
Iniezione
Stabilità in soluzione Stabilità in miscela Fattori che influenzano la stabilità Compatibilità metodo di iniezione Bibliografia pdf
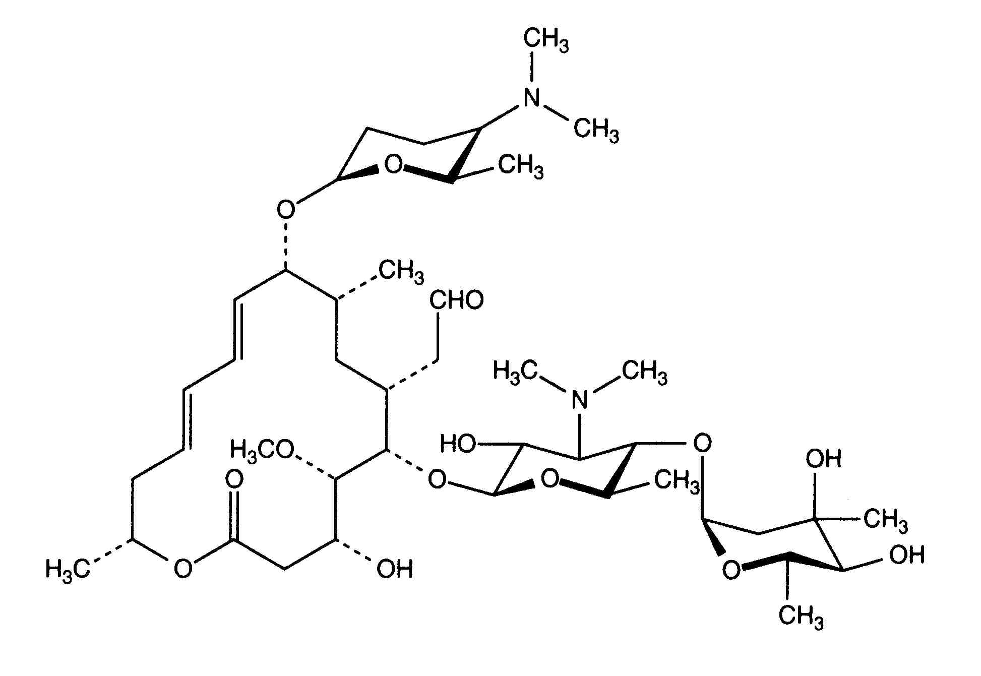
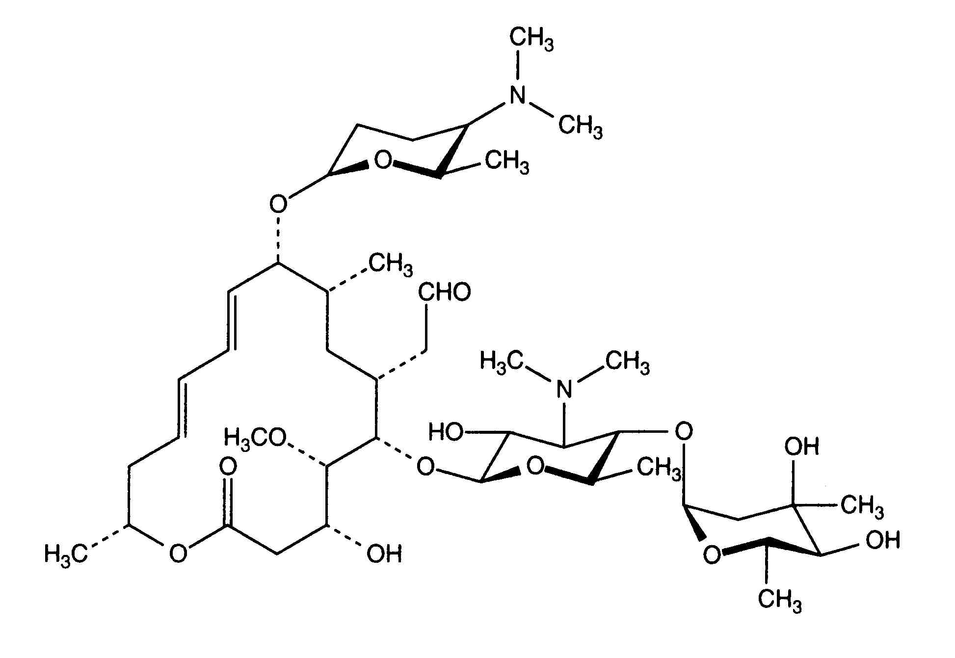
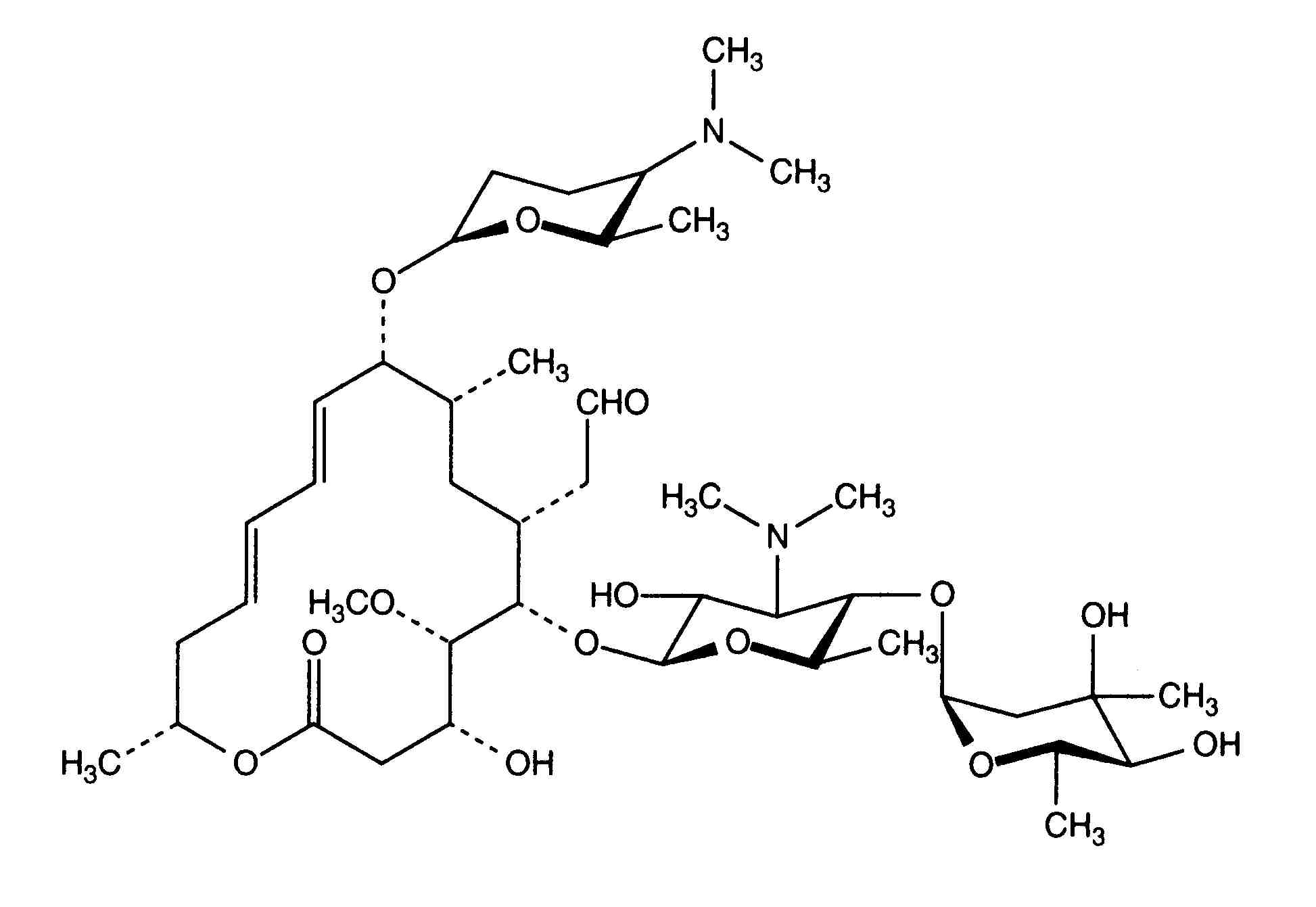
   Struttura chimica  

Nome commerciale   Nome commerciale     

Trade names are indicative and excipients composition can be different depending on the country and manufacturers

Rovamycine Francia, Polonia
Compatibilità   Iniezione   Compatibilità : Spiramycine adipate              
explication_incompatibilite_molecules
Molecola Solvente Bibliografia

  Mentions Légales