Seneste opdatering :
27/04/2026
Antibiotisk   Spiramycine adipate  
Injektion
Stabilitet i (vandige) opløsninger Stabilitet i blandinger Faktorer der påvirker stabiliteten Kompatibilitet Administrationsvej Bibliografi pdf
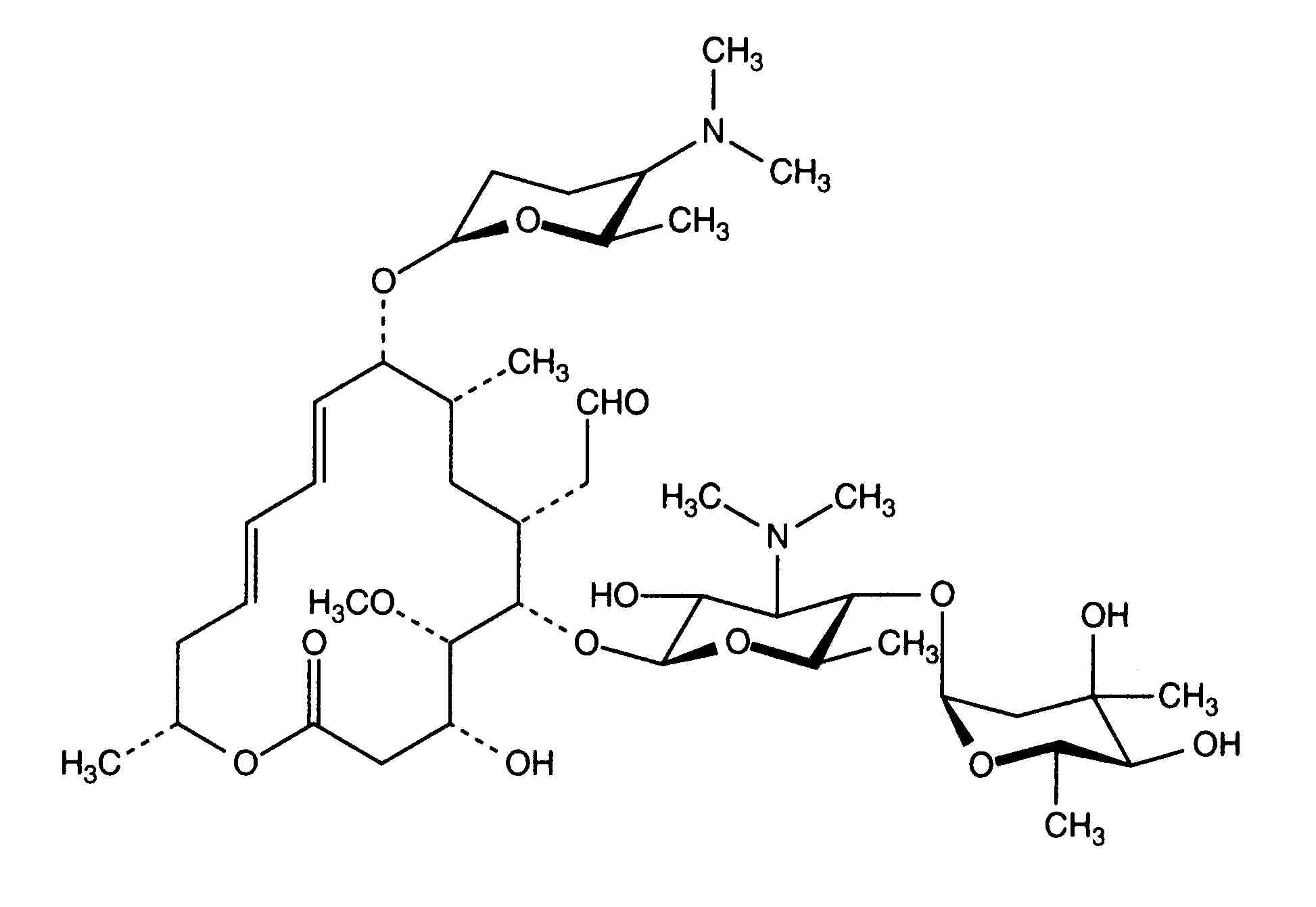
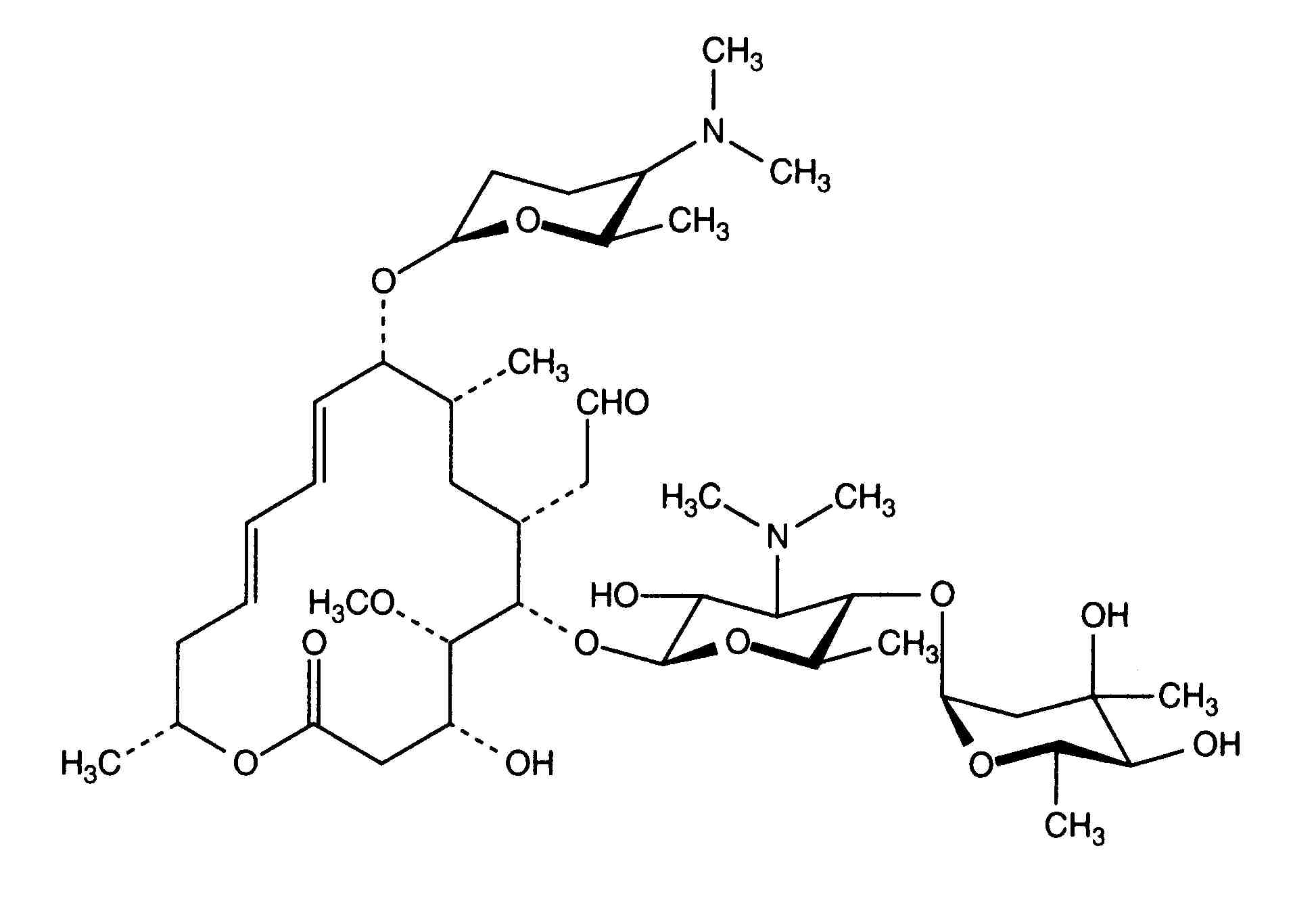
   Kemisk struktur  

Handelsnavn   Handelsnavn     

Handel navne er vejledende og hjælpestoffer sammensætning kan være forskellig afhængigt af landet og laboratorier

Rovamycine Frankrig, Polen
Kompatibilitet   Injektion   Kompatibilitet : Spiramycine adipate              
Denne skærm viser kompatibilitet eller uforenelighed med, i dette tilfælde typen af inkompatibilitet (udfældning, farveændring, ændring af en emulsion osv.). Kompatibiliteterne vist her er for det meste kun fysiske, idet den kemiske stabilitet af hvert molekyle sjældent vurderes. Evalueringen af disse blandinger blev undersøgt for at overveje muligheden for Y-sted-administration til patienten. Disse data kan ikke bruges til at fremstille blandinger på forhånd i poser eller sprøjter. Denne type information findes på skærmen "Stabilitet i blanding".
Molekyle Opløsningsmiddel Bibliografi

  Mentions Légales