Última actualización :
27/04/2026
Antibiótico   Flucloxacillin sodium  
Inyectables
Estabilidad en solucion Estabilidad en mezcla Factores que influyen sobre la estabilidad Compatibilidades método de inyección Bibliografía pdf
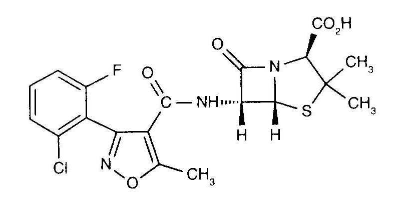
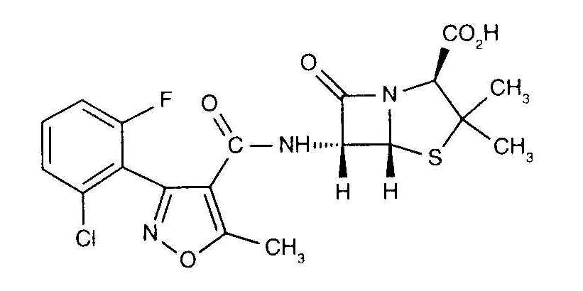
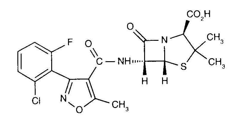
   Estructura química  

Nombre comercial   Nombre comercial     

Los nombres comerciales son orientativos y los excipientes de la formulación pueden ser distintos dependiendo del país y del laboratorio fabricante.

Astaph Marruecos
Betabiotic Italia
DBL flucloxacillin sodium Australia
Flix Turquía
Floxam Marruecos
Floxapen Arabia Saudita, Austria, Bélgica, Estados Unidos de América, Italia, Marruecos, Países Bajos, Polonia, Portugal, Suiza
Flucloxacillin Alemania, Australia, Gran Bretaña, Italia
Flucloxacilline Bélgica, Francia, Países Bajos
Flucloxin Nueva Zelanda
Ladropen Estados Unidos de América
Stafoxil Países Bajos
Staphylex Alemania
método de inyección   método de inyección :Flucloxacillin sodium     
Voie
Intravenoso
Perfusión intravenosa
Intramuscular
Intrapleural
Intraarticular

  Mentions Légales