Dernière mise à jour :
27/04/2026
Antibiotique   Flucloxacillin sodium  
injectable
Stabilité des solutions Stabilité en mélange Facteur influençant la stabilité Compatibilités Voie d’administration Bibliographie pdf
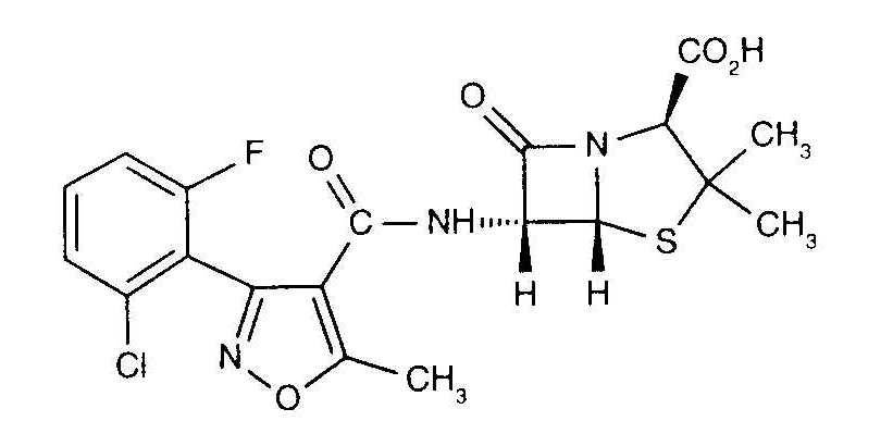
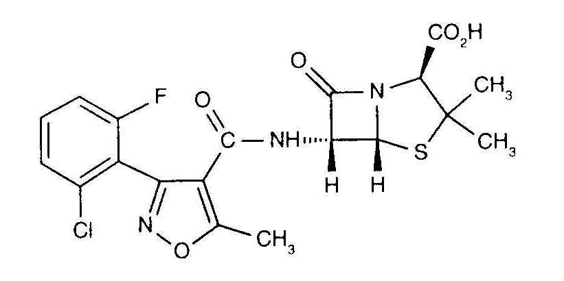
   Structure chimique  

Noms commerciaux   Noms commerciaux     

Les noms commerciaux sont donnés à titre indicatif et la composition en excipients peut être différente selon les pays et selon les laboratoires

Astaph Maroc
Betabiotic Italie
DBL flucloxacillin sodium Australie
Flix Turquie
Floxam Maroc
Floxapen Arabie Saoudite, Autriche, Belgique, Etats Unis d’Amérique, Italie, Maroc, Pays bas, Pologne, Portugal, Suisse
Flucloxacillin Allemagne, Australie, Grande Bretagne, Italie
Flucloxacilline Belgique, France, Pays bas
Flucloxin Nouvelle Zélande
Ladropen Etats Unis d’Amérique
Stafoxil Pays bas
Staphylex Allemagne
Voie d’administration   Voie d’administration :Flucloxacillin sodium     
Voie
Intraveineuse
Perfusion intraveineuse
Intramusculaire
Intrapleurale
Intraarticulaire

  Mentions Légales