zadnja posodobitev :
27/04/2026
Antibiotik   Flucloxacillin sodium  
Brizgalka
Stabilnost raztopine Stabilnost mešanice Faktorji, ki vplivajo na stabilnost Kompatibilnost način aplikacije Viri pdf
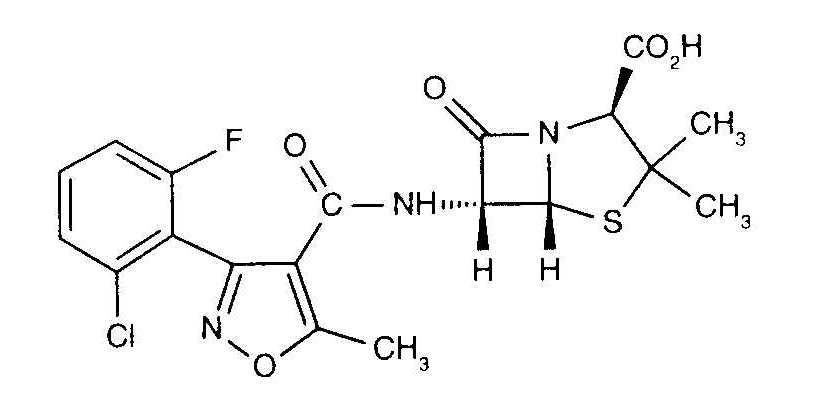
   Kemična formula  

Lastniško ime   Lastniško ime     

Sestava pomožnih snovi je med paralelami lahko različna

Astaph Maroko
Betabiotic Italija
DBL flucloxacillin sodium Avstralija
Flix Turčija
Floxam Maroko
Floxapen Avstrija, Belgija, Italija, Maroko, Nizozemska, Poljska, Portugalska, Savdska Arabija, Švica, Združene države Amerike
Flucloxacillin Avstralija, Italija, Nemčija, Velika Britanija
Flucloxacilline Belgija, Francija, Nizozemska
Flucloxin nova Zelandija
Ladropen Združene države Amerike
Stafoxil Nizozemska
Staphylex Nemčija
način aplikacije   način aplikacije :Flucloxacillin sodium     
Voie
Intravensko
Intravenska infuzija
Intramuskularno
Intrapleuralno
antraartikularno

  Mentions Légales