Τελευταία ενημέρωση :
27/01/2026
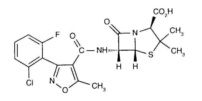
Αντιβιοτικό   Flucloxacillin sodium  
Ενέσιμο
Σταθερότητα διαλυμάτων Σταθερότητα σε μίγματα Παράγοντας που επηρεάζει τη σταθερότητα Συμβατότητες Τρόπος χορήγησης Βιβλιογραφία pdf
   χημική δομή  

Εμπορική ονομασία   Εμπορική ονομασία     

Οι εμπορικές ονομασίες είναι ενδεικτικές και η σύνθεση των εκδόχων μπορεί να διαφέρει ανάλογα με τη χώρα και τα εργαστήρια

Astaph Μαρόκο
Betabiotic Ιταλία
DBL flucloxacillin sodium Αυστραλία
Flix Τουρκία
Floxam Μαρόκο
Floxapen Αυστρία, Βέλγιο, Ελβετία, Η.Π.Α., Ιταλία, Μαρόκο, Ολλανδία, Πολωνία, Πορτογαλία, Σαουδική Αραβία
Flucloxacillin Αυστραλία, Γερμανία, Ιταλία, Μεγάλη Βρετανία
Flucloxacilline Βέλγιο, Γαλλία, Ολλανδία
Flucloxin νέα Ζηλανδία
Ladropen Η.Π.Α.
Stafoxil Ολλανδία
Staphylex Γερμανία
Τρόπος χορήγησης   Τρόπος χορήγησης :Flucloxacillin sodium     
Voie
Ενδοφλέβια
Ενδοφλέβια έκχυση
Ενδομυϊκή
Ενδοπλεύριος
Ενδοαρθρωτική

  Mentions Légales