zadnja posodobitev :
27/11/2025
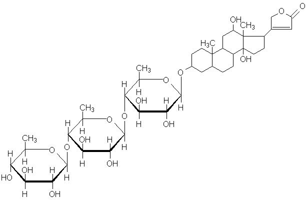
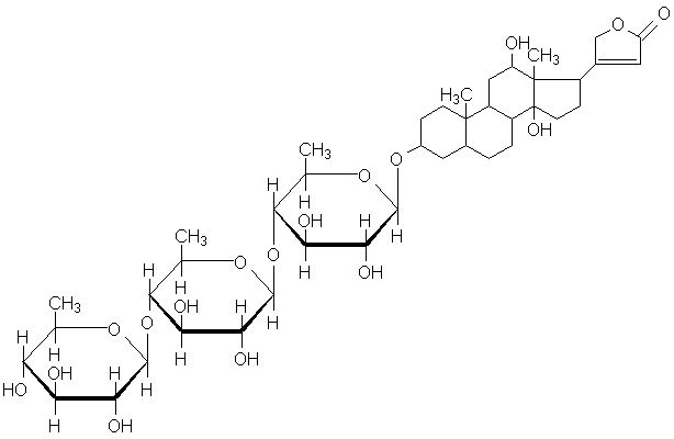
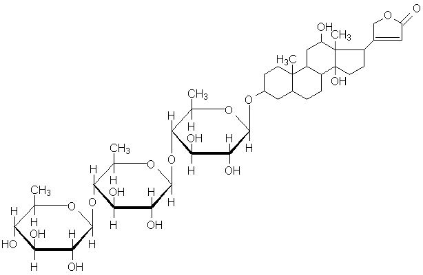
Kardiotonik   Digoxin  
Brizgalka
Stabilnost raztopine Stabilnost mešanice Faktorji, ki vplivajo na stabilnost Kompatibilnost način aplikacije Viri pdf
   Kemična formula  

Lastniško ime   Lastniško ime     

Sestava pomožnih snovi je med paralelami lahko različna

Cardixin Egipt
Celoxin Indija
Digibind nova Zelandija, Združene države Amerike
Digocard Argentina, Ekvador
Digosin Japonska
Digoxin Argentina, Danska, Ekvador, Finska, Iran, Kanada, Madžarska, Poljska, Švedska, Velika Britanija, Združene države Amerike
Digoxina Argentina, Ekvador, Mehika, Španija, Venezuela
Digoxine Francija, Grčija, Švica
Geoxin Indija
Lanibos Savdska Arabija
Lanicor Nemčija
Lanoxin Belgija, Čile, Egipt, Iran, Irska, Italija, Luksemburg, Malezija, Nizozemska, Norveška, nova Zelandija, Portugalska, Savdska Arabija, Velika Britanija, Združene države Amerike, Združeni arabski emirati
Loxinan Mehika
način aplikacije   način aplikacije :Digoxin     
Voie
Intravenska infuzija
Intramuskularno

  Mentions Légales