Последнее обновление :
27/04/2026
Кардиотоническое средство   Digoxin  
Инъекция
Стабильность растворов Стабильность смесей Факторы, которые влияют на стабильность Совместимость Способы введения Библиография pdf
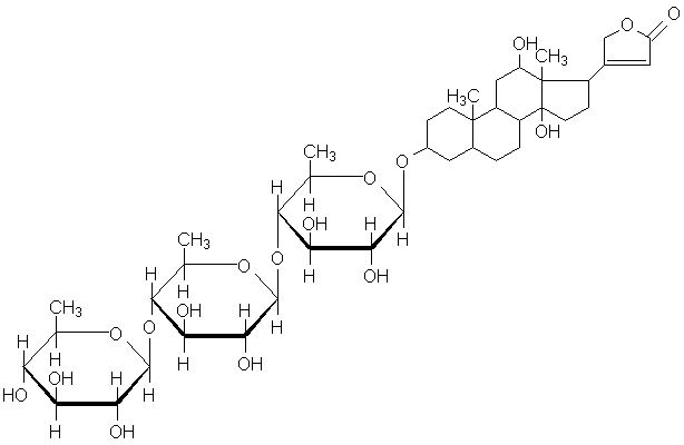
   Химическая структура  

Товарное название   Товарное название     

Trade names are indicative and excipients composition can be different depending on the country and manufacturers

Cardixin Египет
Celoxin Индия
Digibind новая Зеландия, Соединённые Штаты Америки
Digocard Аргентина, Эквадор
Digosin Япония
Digoxin Аргентина, Великобритания, Венгрия, Дания, Иран, Канада, Польша, Соединённые Штаты Америки, Финляндия, Швеция, Эквадор
Digoxina Аргентина, Венесуэла, Испания, Мексика, Эквадор
Digoxine Греция, Франция, Швейцария
Geoxin Индия
Lanibos Саудовская Аравия
Lanicor Германия
Lanoxin Бельгия, Великобритания, Голландия, Египет, Иран, Ирландия, Италия, Люксембург, Малайзия, новая Зеландия, Норвегия, Объединенные Арабские Эмираты, Португалия, Саудовская Аравия, Соединённые Штаты Америки, чили
Loxinan Мексика
Способы введения   Способы введения :Digoxin     
Voie
Интравенная, внутривенная инфузия
Внутримышечный

  Mentions Légales