Posledná aktualizácia :
27/11/2025
kardiotonikum   Digoxin  
Injekcia
Stabilita roztokov Stabilita v zmesiach Faktory ovplyvňujúce stabilitu Kompatibility spôsob podania Odkazy na literatúru PDF
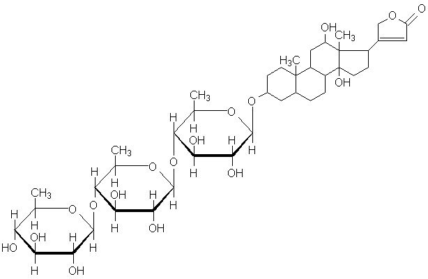
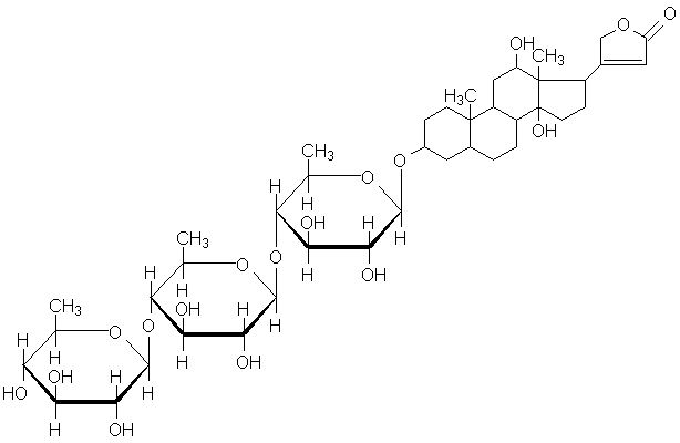
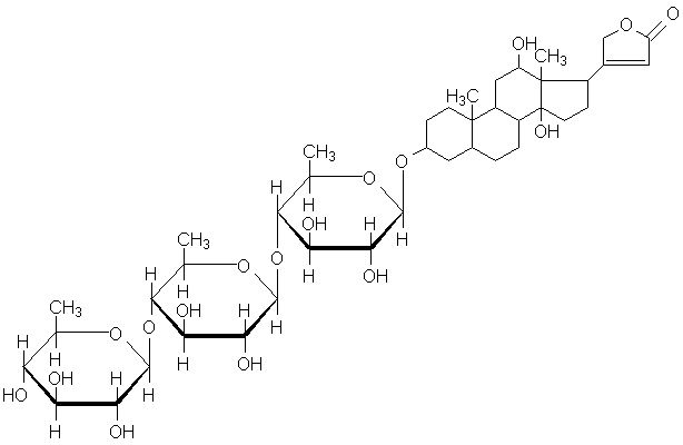
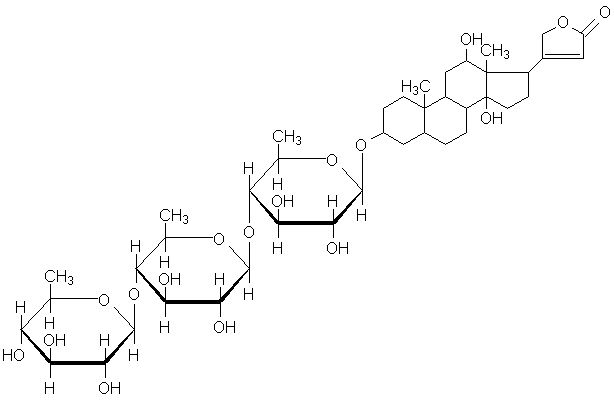
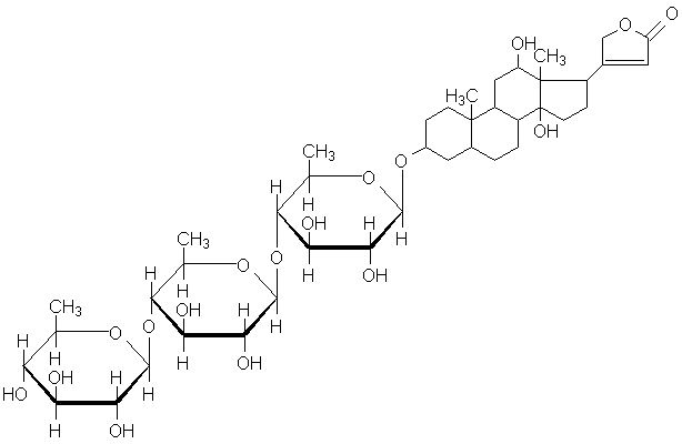
   Chemický vzorec  

Obchodný názov   Obchodný názov     

Obchodné názvy sú orientačné, a zloženie pomocných látok sa môže líšiť v závislosti od krajiny a výrobcu.

Cardixin Egypt
Celoxin India
Digibind nový Zéland, Spojené štáty Americké
Digocard Argentína, Ekvádor
Digosin Japonsko
Digoxin Argentína, Dánsko, Ekvádor, Fínsko, Irán, Kanada, Maďarsko, Poľsko, Spojené štáty Americké, Švédsko, Veľká Británia
Digoxina Argentína, Ekvádor, Mexiko, Španielsko, Venezuela
Digoxine Francúzsko, Grécko, Švajčiarsko
Geoxin India
Lanibos Saudská Arábia
Lanicor Nemecko
Lanoxin Belgicko, Čile, Egypt, Holandsko, Irán, Írsko, Luxembursko, Malajzia, Nórsko, nový Zéland, Portugalsko, Saudská Arábia, Spojené arabské emiráty, Spojené štáty Americké, Taliansko, Veľká Británia
Loxinan Mexiko
spôsob podania   spôsob podania :Digoxin     
Voie
intravenózna infúzia
intramuskulárne

  Mentions Légales