Pēdējā atjaunošana :
27/04/2026
Kardiotonisks līdzeklis   Digoxin  
Injekcija
Šķīduma stabilitāte Maisījuma stabilitāte Stabilitāti ietekmējoši faktori Saderība Levadīšanas veids Literatūras saraksts pdf
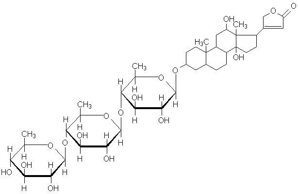
   Ķīmiskā uzbūve   

Oriģinālais nosaukums   Oriģinālais nosaukums     

Tirdzniecības nosaukumi ir apzīmējoši un palīgvielas var atšķirties dažādām valstīm un laboratorijām

Cardixin Ēģipte
Celoxin Indija
Digibind Amerikas Savienotās Valstis, Jaunzēlande
Digocard Argentīna, Ekvadora
Digosin Japāna
Digoxin Amerikas Savienotās Valstis, Argentīna, Dānija, Ekvadora, Irāna, Kanāda, Lielbritānija, Polija, Somija, Ungārija, Zviedrija
Digoxina Argentīna, Ekvadora, Meksika, Spānija, Venecuēla
Digoxine Francija, Grieķija, Šveice
Geoxin Indija
Lanibos Saūda Arābija
Lanicor Vācija
Lanoxin Amerikas Savienotās Valstis, Apvienotie Arābu Emirāti, Beļģija, Čīle, Ēģipte, Holande, Irāna, Īrija, Itālija, Jaunzēlande, Lielbritānija, Luksemburga, Malaizija, Norvēģija, Portugāle, Saūda Arābija
Loxinan Meksika
Levadīšanas veids   Levadīšanas veids :Digoxin     
Voie
Intravenoza infūzija
Intramuskulāri

  Mentions Légales