Siste oppdatering :
18/03/2026
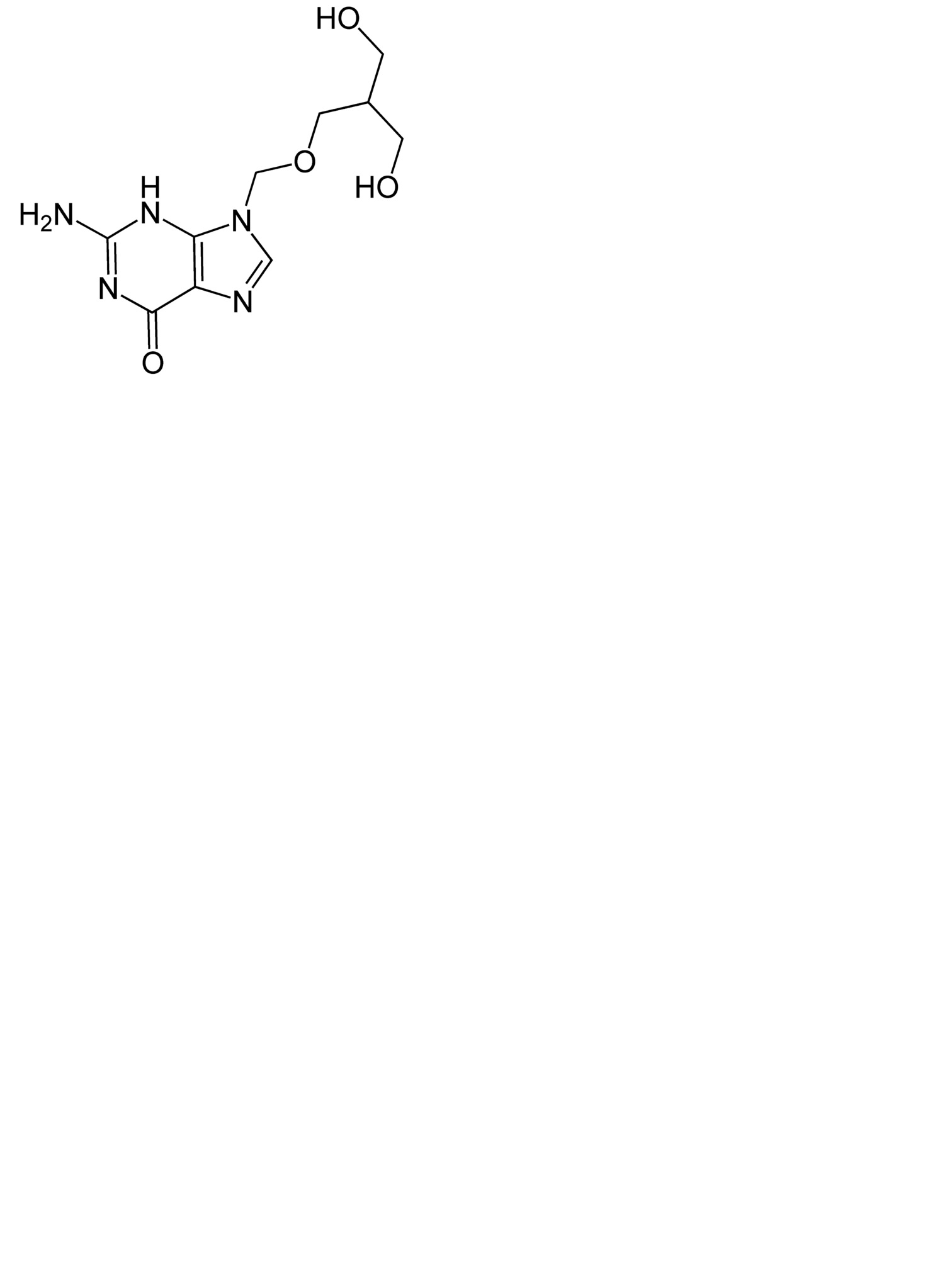
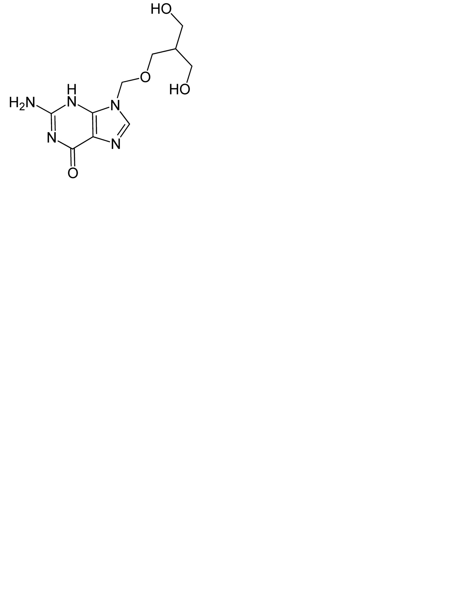
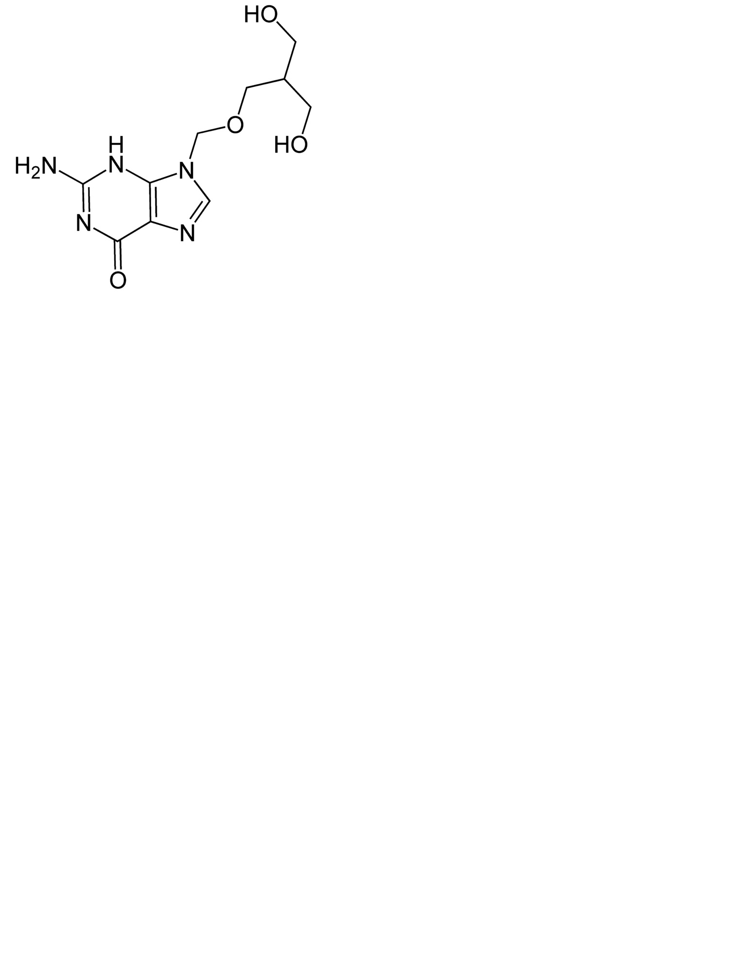
Antiviralt middel   Ganciclovir  
Øyedråper
Stabilitet av farmasøytiske preparater Stabilitet i blandinger Faktorer som påvirker stabiliteten Kompatibilitet Referanser pdf
   Kjemisk struktur  

Øyedråper
Referanser   Øyedråper   Referanser : Ganciclovir  
Type publikasjon
4729 Journal Leanpolchareanchai J, Tangteerakoon P, Supapsophon P, Sukavatcharin S, Simaroj P, Suksiriworapong J.
Extemporaneous Preparation of 20 mg/mL Ganciclovir in Artificial Tears in Comparison with SterileWater for Ophthalmic Administration: Formulation and Stability Study.
Pharmaceutics 2023 ; 15, 208.

  Mentions Légales