viimane versioon :
18/03/2026
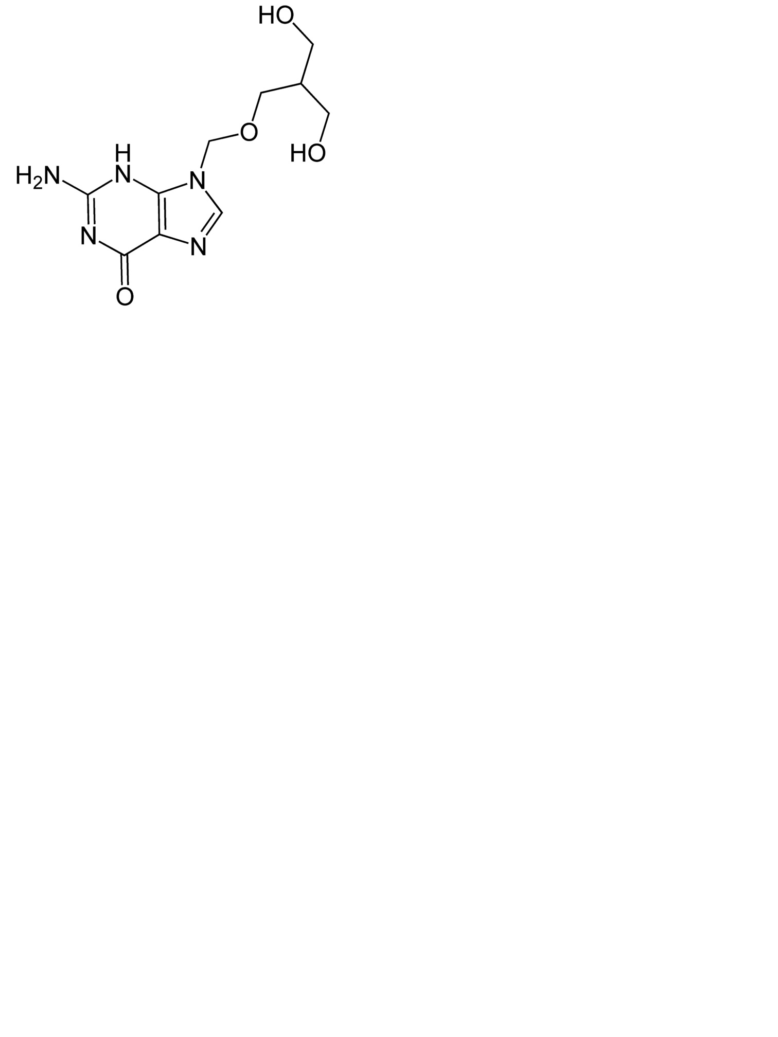
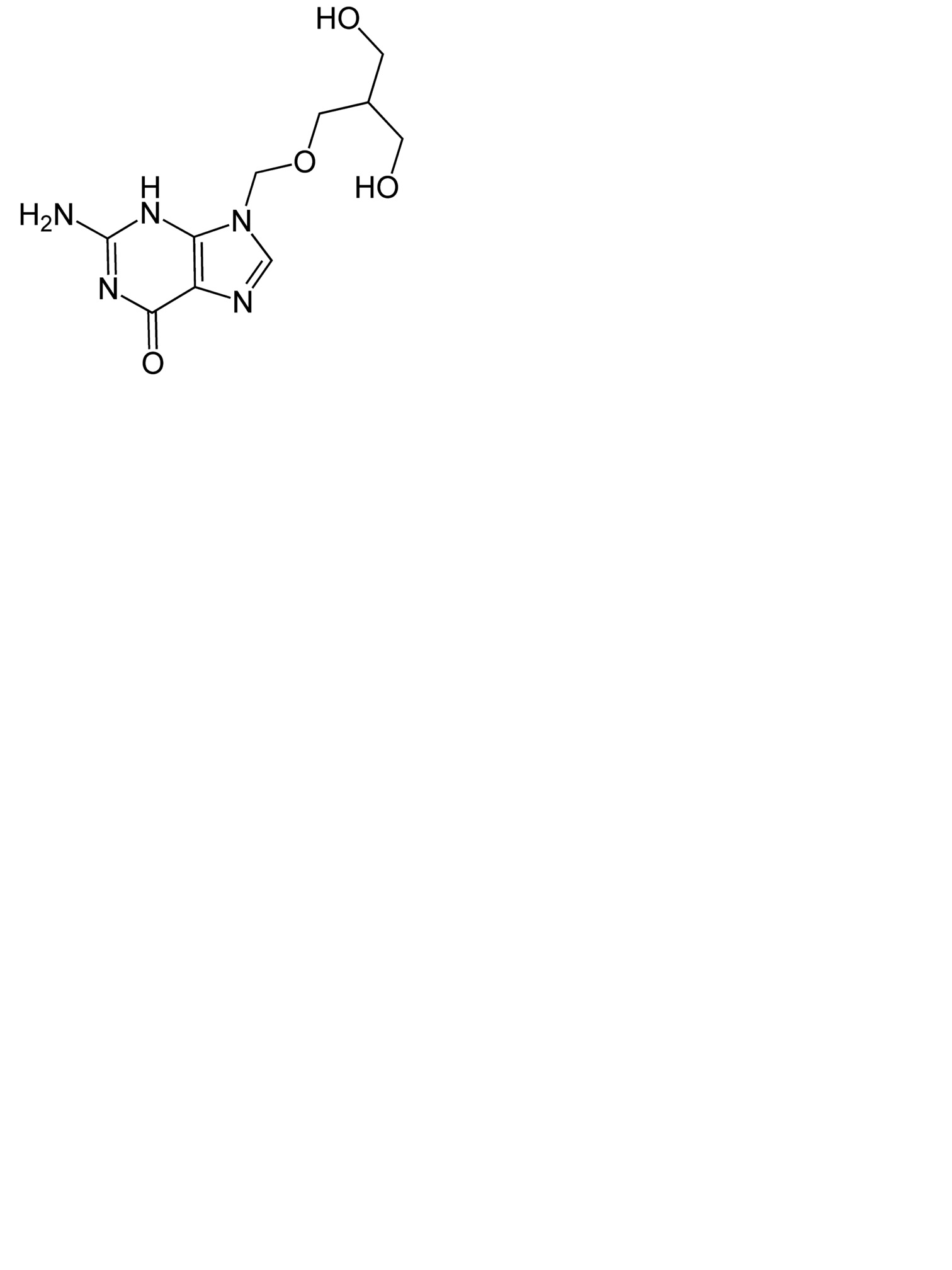
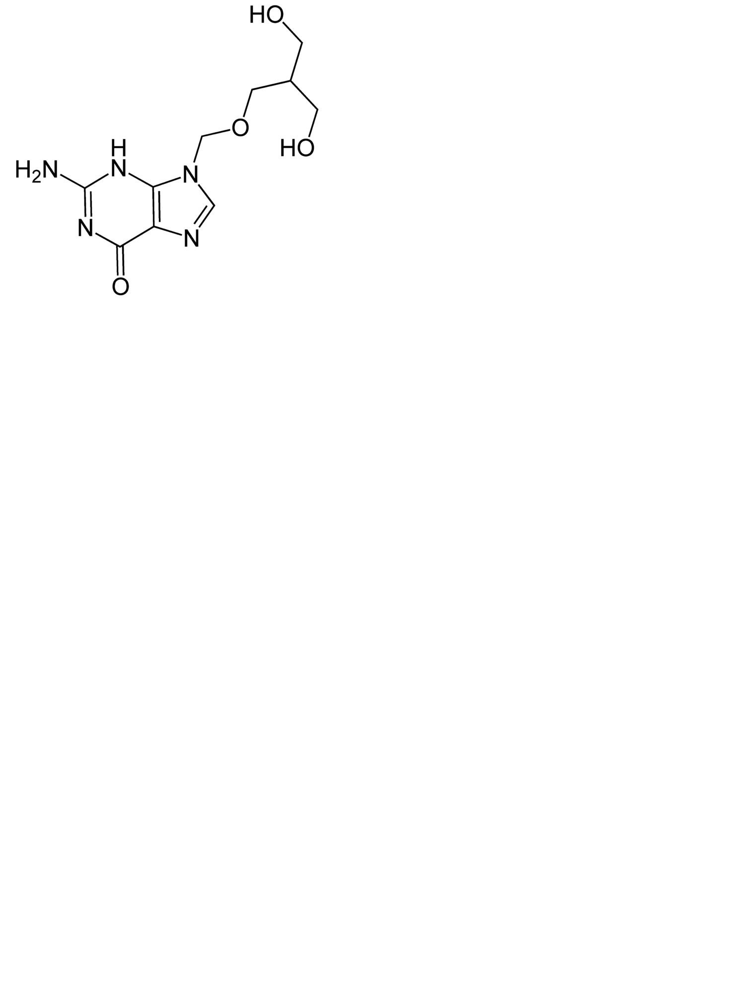
Viirusevastane ravim   Ganciclovir  
Silmatilgad
Stabiilsust ravimpreparaadid Stabiilsust mõjutavad tegurid stabiilsust mõjutavad faktorid Sobimatus Viited pdf
   keemiline struktuur  

Silmatilgad
Viited   Silmatilgad   Viited : Ganciclovir  
tüüp avaldamine
4729 ajaleht Leanpolchareanchai J, Tangteerakoon P, Supapsophon P, Sukavatcharin S, Simaroj P, Suksiriworapong J.
Extemporaneous Preparation of 20 mg/mL Ganciclovir in Artificial Tears in Comparison with SterileWater for Ophthalmic Administration: Formulation and Stability Study.
Pharmaceutics 2023 ; 15, 208.

  Mentions Légales