Τελευταία ενημέρωση :
18/03/2026
Αντιιικό   Ganciclovir  
Οφθαλμικές σταγόνες
Σταθερότητα και συμβατότητα των φαρμάκων Σταθερότητα σε μίγματα Παράγοντας που επηρεάζει τη σταθερότητα Συμβατότητες Βιβλιογραφία pdf
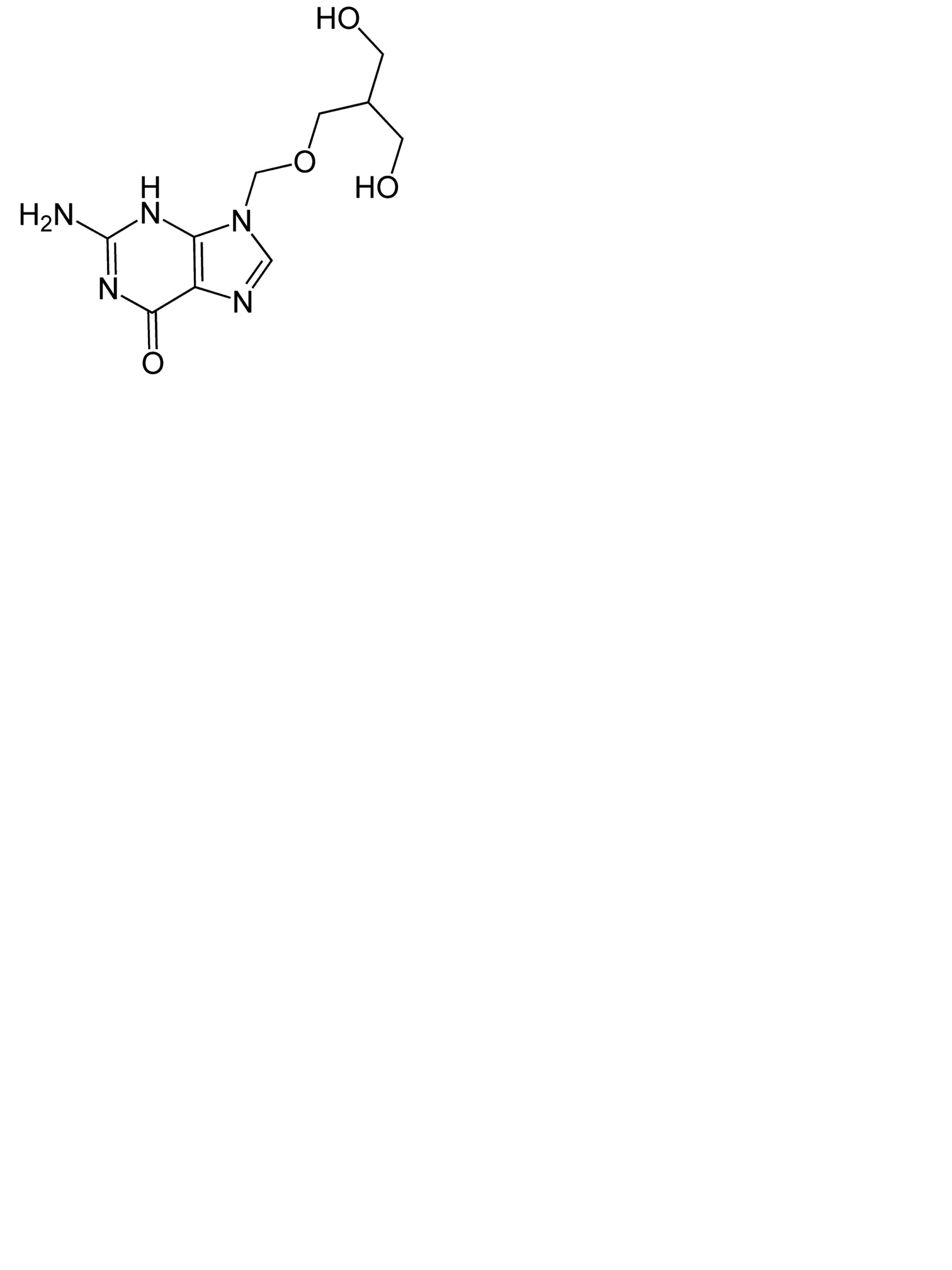
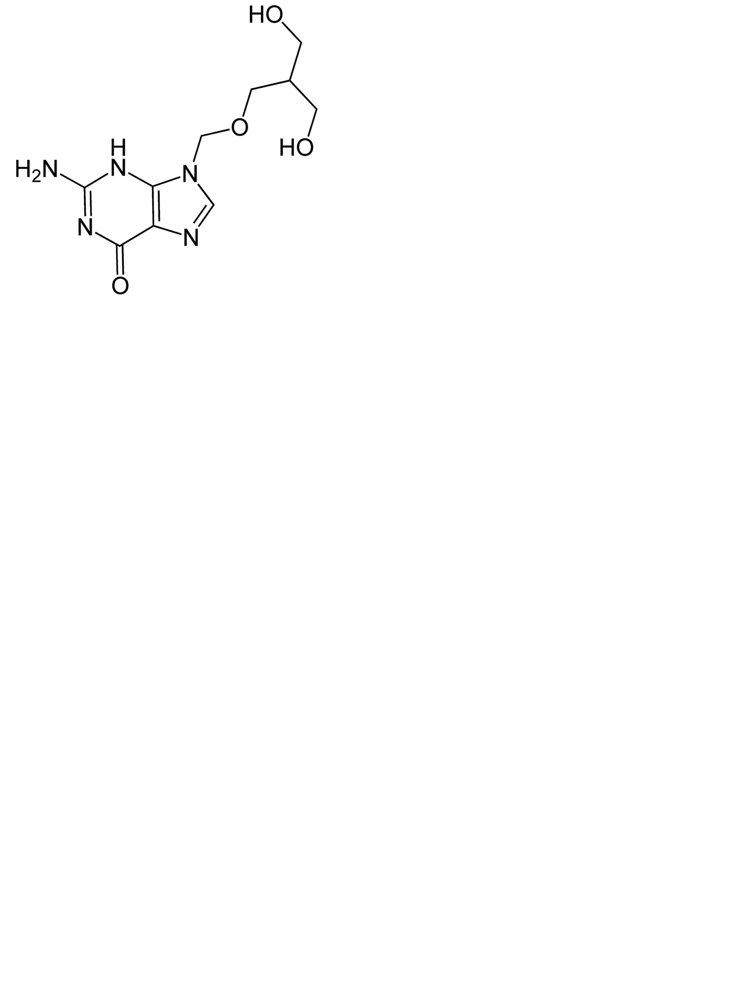
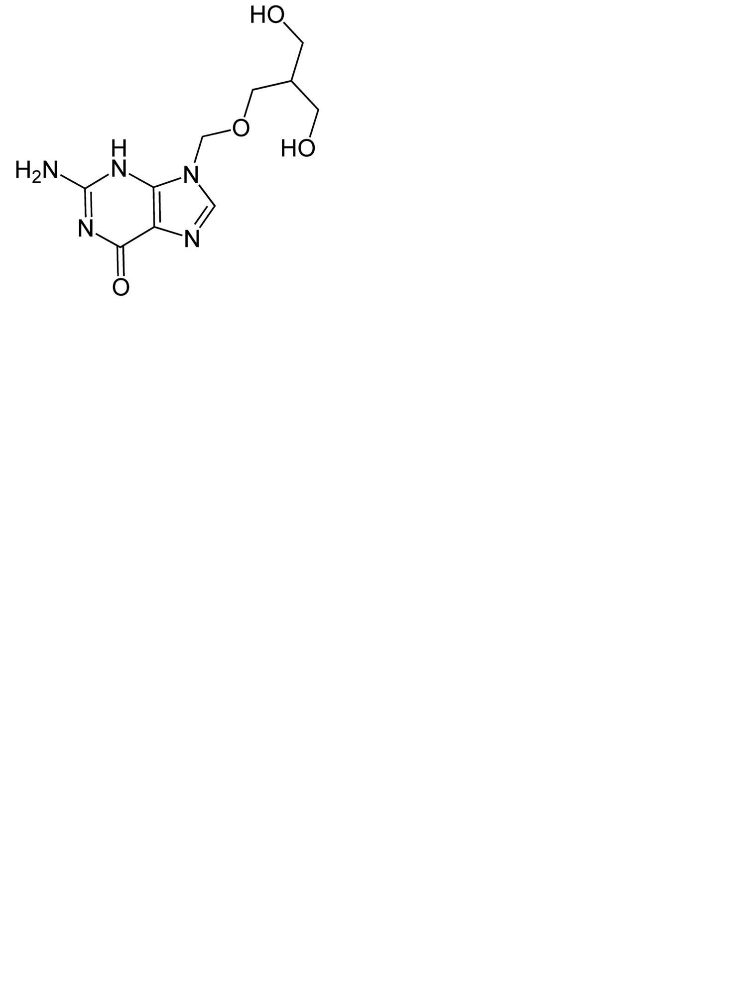
   χημική δομή  

Οφθαλμικές σταγόνες
Βιβλιογραφία   Οφθαλμικές σταγόνες   Βιβλιογραφία : Ganciclovir  
τύπος δημοσίευση
4729 εφημερίδα Leanpolchareanchai J, Tangteerakoon P, Supapsophon P, Sukavatcharin S, Simaroj P, Suksiriworapong J.
Extemporaneous Preparation of 20 mg/mL Ganciclovir in Artificial Tears in Comparison with SterileWater for Ophthalmic Administration: Formulation and Stability Study.
Pharmaceutics 2023 ; 15, 208.

  Mentions Légales