fermer
Poslední aktualizace :
17/12/2025
Infostab
Seznamy
Seznamy shrnutí
Hledat kompatibility
Tabulka kompatibility správy Y
Odkazy
výzkumné týmy
valistab
plakát
Připojení
sponzoři
Autor
Uživatelská příručka
Newsletter
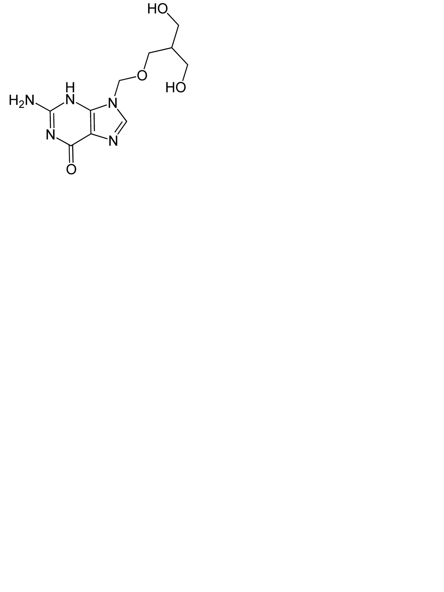
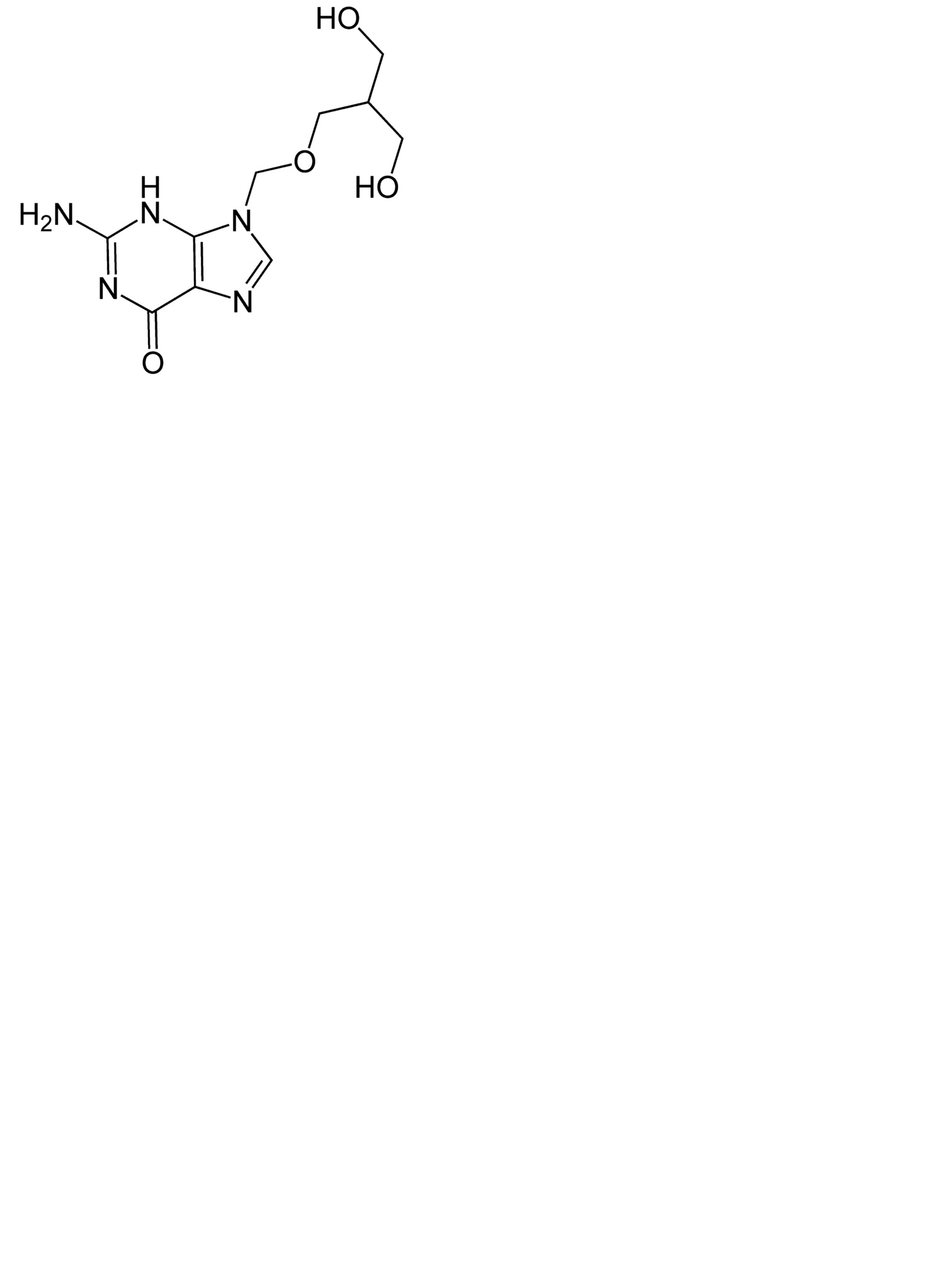
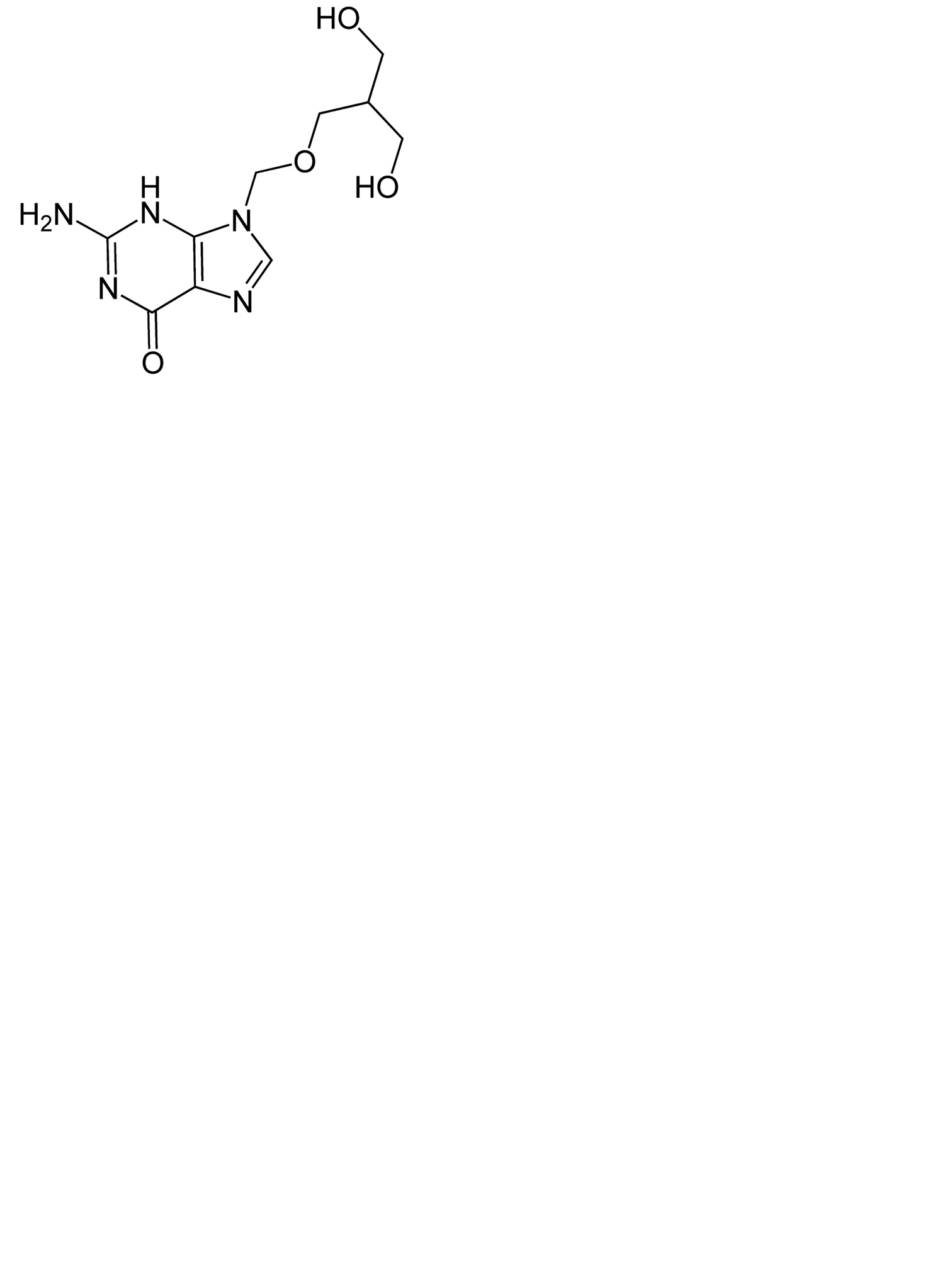
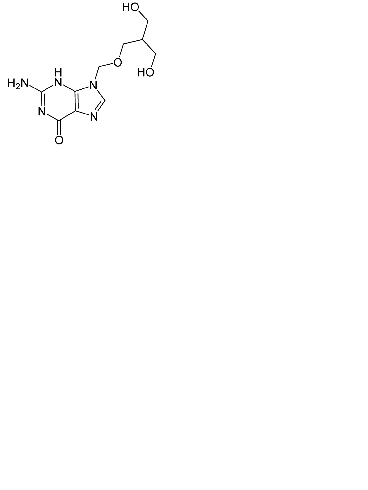
Ganciclovir
Chemický vzorec
Odkazy : Ganciclovir
typ
uveřejnění
4729
noviny
Leanpolchareanchai J, Tangteerakoon P, Supapsophon P, Sukavatcharin S, Simaroj P, Suksiriworapong J.
Extemporaneous Preparation of 20 mg/mL Ganciclovir in Artificial Tears in Comparison with SterileWater for Ophthalmic Administration: Formulation and Stability Study.
Pharmaceutics 2023 ; 15, 208.
Mentions Légales