Utolsó frissítés :
27/04/2026
Izombénító   Atracurium besylate  
Injekció
Az oldatok stabilitása A keverékek stabilitása Stabilitást befolyásoló tényezők Kompatibilitás Az alkalmazás módja Irodalom pdf
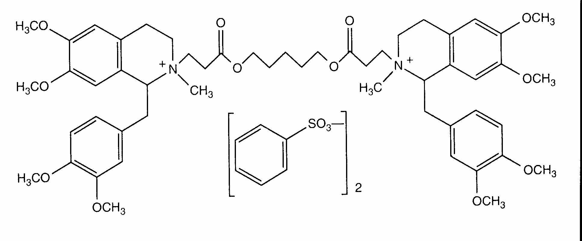
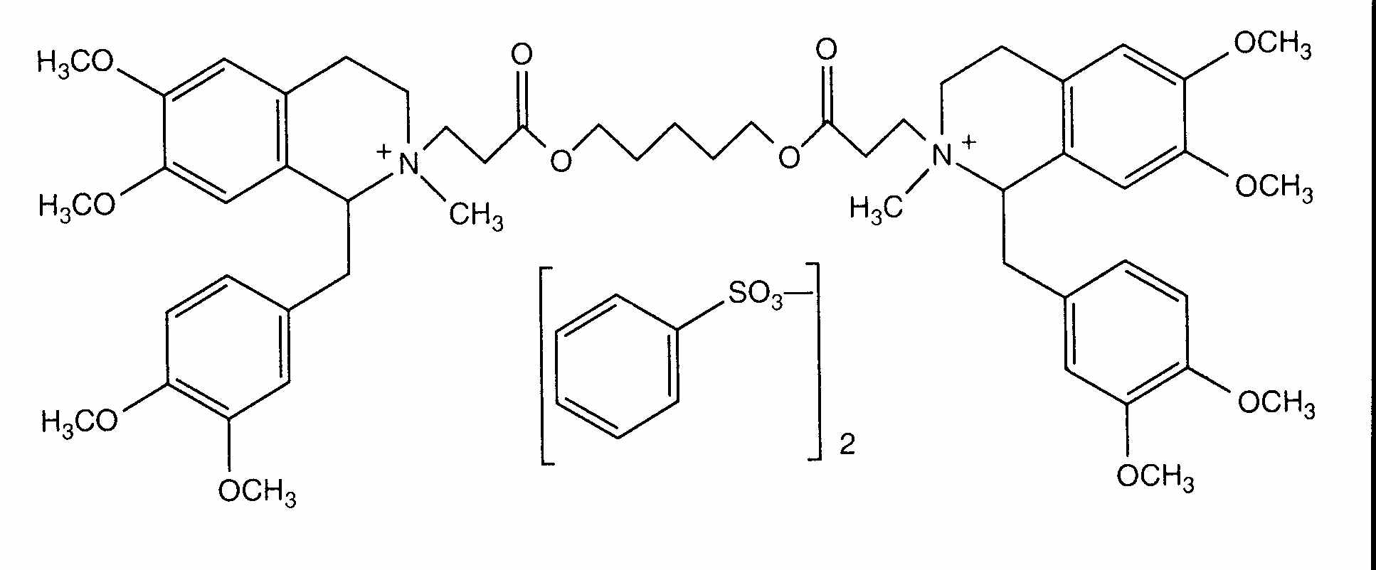
   Kémiai szerkezet   

Kereskedelmi név   Kereskedelmi név     

A kereskedelmi név meghatározó jelentőségű: a készítmények összetétele országonként, előállítóként eltérő lehet

Abbocurium Lengyelország
Acurmil Olaszország
Ancour Irán
Anecur Irán
Atacur Szaúd-Arábiában
Atrabesylate Egyiptom
Atracurio Argentína, Brazília, Spanyolország
Atracurio besilato Chile, Olaszország, Peru, Venezuela
Atracurium Argentína, Ausztria, Egyesült Arab Emírségek, Egyiptom, Irán, Malaysia, Nagy-Britannia, Németország, Olaszország, Svédország, Szaúd-Arábiában
Atracurium besilat Ausztria
Atracurium besilate Amerikai Egyesült Államok, Ausztrália, Egyesült Arab Emírségek, Egyiptom, Irán, Kanada, Szaúd-Arábiában, új-Zéland
Atralex Malaysia
Atrasyl Törökország
Besilato Atracurio Chile, Portugália, Spanyolország
Faulcurium Egyiptom, Portugália
Gelolagar Argentína
Laurak Spanyolország
Neucurium Törökország
Notrixum Törökország
Relactrac Colombia
Relatrac Mexikó
Tracrium Amerikai Egyesült Államok, Ausztria, Belgium, Chile, Colombia, Ecuador, Egyesült Arab Emírségek, Egyiptom, Franciaország, Görögország, Hollandia, Irán, Írország, Lengyelország, Luxemburg, Magyarország, Malaysia, Marokkó, Mexikó, Nagy-Britannia, Németország, Olaszország, Portugália, Románia, Spanyolország, Svájc, Szaúd-Arábiában, Szlovénia, Törökország, új-Zéland
Tracumek Peru
Tracurix Argentína
Tracuron Argentína

Stabilitást befolyásoló tényezők   Injekció   Stabilitást befolyásoló tényezők : Atracurium besylate        
Irodalom
Hőmérséklet Növekedés Előidéz Lebomlás 657
pH pH >7 Előidéz Lebomlás 3629

  Mentions Légales