Viimeisin päivitys :
27/04/2026
Lihasrelaksantit   Atracurium besylate  
Injektioneste
Stabilius liuoksessa Stabilius seoksissa Tekijät, jotka vaikuttavat stabiliuteen Yhteensopivuus Antotapa Viitteet pdf
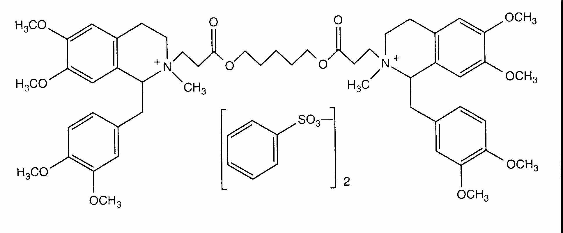
   Kemiallinen rakenne  

Kauppanimi   Kauppanimi     

Trade names are indicative and excipients composition can be different depending on the country and manufacturers

Abbocurium Puola
Acurmil Italia
Ancour Iran
Anecur Iran
Atacur Saudi-Arabia
Atrabesylate Egypti
Atracurio Argentiina, Brasilia, Espanja
Atracurio besilato Chile, Italia, Marokko, Venezuela
Atracurium Argentiina, Egypti, Iran, Iso-Britannia, Italia, Itävalta, Malesia, Ruotsi, Saksa, Saudi-Arabia, Yhdistyneet arabiemiirikunnat
Atracurium besilat Itävalta
Atracurium besilate Australia, Egypti, Iran, Kanada, New Zealand, Saudi-Arabia, Yhdistyneet arabiemiirikunnat, Yhdysvallat
Atralex Malesia
Atrasyl Turkki
Besilato Atracurio Chile, Espanja, Portugali
Faulcurium Egypti, Portugali
Gelolagar Argentiina
Laurak Espanja
Neucurium Turkki
Notrixum Turkki
Relactrac Kolumbia
Relatrac Meksiko
Tracrium Belgia, Chile, Ecuador, Egypti, Espanja, Hollanti, Iran, Irlanti, Iso-Britannia, Italia, Itävalta, Kolumbia, Kreikka, Luxemburg, Malesia, Marokko, Meksiko, New Zealand, Portugali, Puola, Ranska, Romania, Saksa, Saudi-Arabia, Slovenia, Sveitsi, Turkki, Unkari, Yhdistyneet arabiemiirikunnat, Yhdysvallat
Tracumek Marokko
Tracurix Argentiina
Tracuron Argentiina

Tekijät, jotka vaikuttavat stabiliuteen   Injektioneste   Tekijät, jotka vaikuttavat stabiliuteen : Atracurium besylate        
Viitteet
Lämpötila Nousu Aiheuttaa Hajoaminen 657
pH pH >7 Aiheuttaa Hajoaminen 3629

  Mentions Légales