Última actualização :
27/04/2026
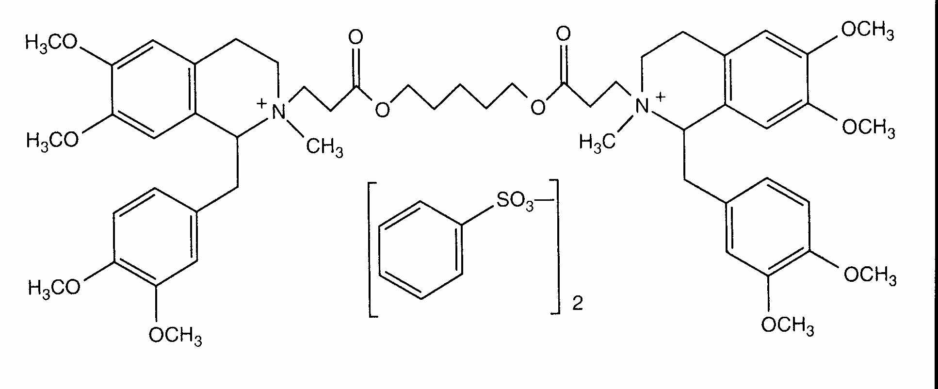
Curarizante   Atracurium besylate  
injetável
Estabilidade em soluções simples Estabilidade em misturas Factores que afectam a sua estabilidade Compatibilidade Método de administração Bibliografía pdf
   estrutura química  

Nomes comerciais nos diversos países   Nomes comerciais nos diversos países     

OS NOMES COMERCIAIS SÃO INDICATIVOS E OS EXCIPIENTES DA FORMULAÇÃO PODEM SER DIFERENTES CONFORME O PAÍS E FABRICANTE.

Abbocurium Polonia
Acurmil Itália
Ancour Irã
Anecur Irã
Atacur Arábia Saudita
Atrabesylate Egipto
Atracurio Argentina, Brasil, Espanha
Atracurio besilato Chilli, Itália, Peru, Venezuela
Atracurium Alemanha, Arábia Saudita, Argentina, Austria, Egipto, Emirados Árabes Unidos, Gran-bretanha, Irã, Itália, Malásia, Suècia
Atracurium besilat Austria
Atracurium besilate Arábia Saudita, Australia, Canadá, Egipto, Emirados Árabes Unidos, Estados Unidos de América, Irã, nova Zelândia
Atralex Malásia
Atrasyl Turquia
Besilato Atracurio Chilli, Espanha, Portugal
Faulcurium Egipto, Portugal
Gelolagar Argentina
Laurak Espanha
Neucurium Turquia
Notrixum Turquia
Relactrac Colômbia
Relatrac México
Tracrium Alemanha, Arábia Saudita, Austria, Bélgica, Chilli, Colômbia, Egipto, Emirados Árabes Unidos, Equator, Eslovenia, Espanha, Estados Unidos de América, França, Gran-bretanha, Grècia, Hungria, Irã, Irlanda, Itália, Luxemburgo, Malásia, Marrocos, México, nova Zelândia, Países Baixos, Polonia, Portugal, Romènia, Suicia, Turquia
Tracumek Peru
Tracurix Argentina
Tracuron Argentina
Bibliografía   injetável   Bibliografía : Atracurium besylate  
tipo publicação
285 jornal Elmore RL, Contois ME, Kelly J, Noe A, Poirier A.
Stability and compatibility of admixtures of intravenous ciprofloxacin and selected drugs.
Clin Ther 1996 ; 18: 246-255.
300 jornal Trissel LA, Gilbert DL, Martinez JF.
Compatibility of propofol injectable emulsion with selected drugs during simulated Y-site administration.
Am J Health-Syst Pharm 1997 ; 54: 1287-1292.
319 jornal Hadzija BW, Lubarsky DA.
Compatibility of etomidate, thiopental sodium, and propofol injections with drugs commonly administered during induction of anesthesia.
Am J Health-Syst Pharm 1995 ; 52: 997-999.
402 jornal Savitsky ME.
Visual compatibility of neuromuscular blocking agents with various injectable drugs during simulated Y-site injection.
Am J Hosp Pharm 1990 ; 47: 820-821.
657 jornal Pramar YV, Loucas VA, Word D.
Chemical stability and adsorption of atracurium besylate injections in disposable plastic syringes.
J Clin Pharm Ther 1996 ; 21: 173-175.
660 jornal Michaels MR, Stauffer GL, Haas DP.
Propofol compatibility with other intravenous drug products - Two new methods of evaluating IV emulsion compatibility.
Ann Pharmacotherapy 1996 ; 30: 228-232.
813 jornal Akkermann SR, Zhang H, Mullins RE, Yaughn K.
Stability of milrinone lactate in the presence of 29 critical care drugs and 4 IV solutions.
Am J Health-Syst Pharm 1999 ; 56: 63-68.
865 jornal Bhatt-Mehta V, Hirata S.
Physical compatibility and chemical stability of atracurium besylate and midazolam hydrochloride during intravenous coinfusion.
Int J Pharm Compound 1998 ; 2: 79-81.
939 jornal Gilbar PJ, Groves CF.
Visual compatibility of total parenteral nutrition solution (Synthamin 17 Premix*) with selected drugs during simulated Y-site injection.
Aust J Hosp Pharm 1994 ; 24: 167-170.
1093 jornal Fisher DM, Canfell, Miller RD.
Stability of atracurium administered by infusion.
Anesthesiology 1984 ; 61: 347-348.
1611 jornal Chalmers JR, Bobek MB, Militello MA.
Visual compatibility of amiodarone hydrochloride injection with various intravenous drugs.
Am J Health-Syst Pharm 2001 ; 58: 504-506.
1647 jornal Ackland G.
Physical incompatibility between atracurium and intravenous diclofenac.
Anaesthesia 2001 ; 56: 294.
1721 jornal Trissel LA, Williams KY, Baker MB.
Compatibility screening of Hextend during simulated Y-site administration with other drugs.
Int J Pharm Compound 2001 ; 5: 69-72.
1803 jornal Trissel, LA, Saenz CA, Ogundele OB, Ingram D, Baker MB.
Compatibility of fenoldopam mesylate with other drugs during simulated Y-site administration.
Am J Health-Syst Pharm 2003 ; 60: 80-85.
3373 jornal Khan S, Stannard N, Greijn J.
Precipitation of thiopental with muscle relaxants: a potential hazard.
J R Soc Med Sh Rep 2011 ; 2: 58.
3502 Laboratório Propofol (Diprivan®) - Summary of Products Characteristics
Astra Zeneca 2012
3629 Laboratório Atracurium (Atracurium solution for injection/infusion®) - Summary of Product Characteristics
Actavis UK 2014
3659 Laboratório Propofol (Diprivan®) - Résumé des caractéristiques du produit
AstraZeneca 2016
3676 Laboratório Atracurium bésilate (Atracurium Hospira®) - Résumé des caractéristiques du produit
Hospira 2014
4428 jornal Rashed S.M, Sweatman T.W, Thoma L, Hovinga C.A, Phelps S.J.
Chemical Compatibility of Depacon® with Medications Frequently Administered by Intravenous Y-Site Delivery in Patients with Epilepsy or Head Trauma.
J Pediatr Pharmacol Ther 2004 ; 9, 2: 126-132.
5042 Laboratório Dexdor 100 micrograms/ml concentrate for solution for infusion - Summary of Product Characteristics.
Orion Corporation 2016

  Mentions Légales