Senaste uppdateringen :
27/01/2026
Glukosnedsättande   Sitagliptine phosphate  
Oral lösning
Stabilitet av läkemedel Stabilitet i blandningar Faktorer som påverkar stabiliteten Kompatibilitet Hänvisningar pdf
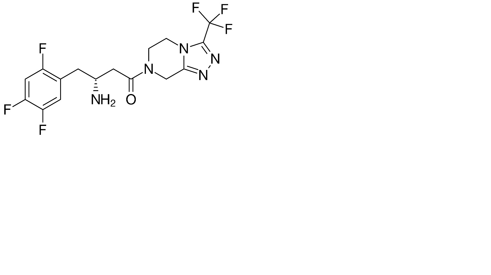
   Molekylstruktur  

Oral lösning

Faktorer som påverkar stabiliteten   Oral lösning   Faktorer som påverkar stabiliteten : Sitagliptine phosphate        
Ingen uppgift

  Mentions Légales