Letztes “update” :
27/01/2026
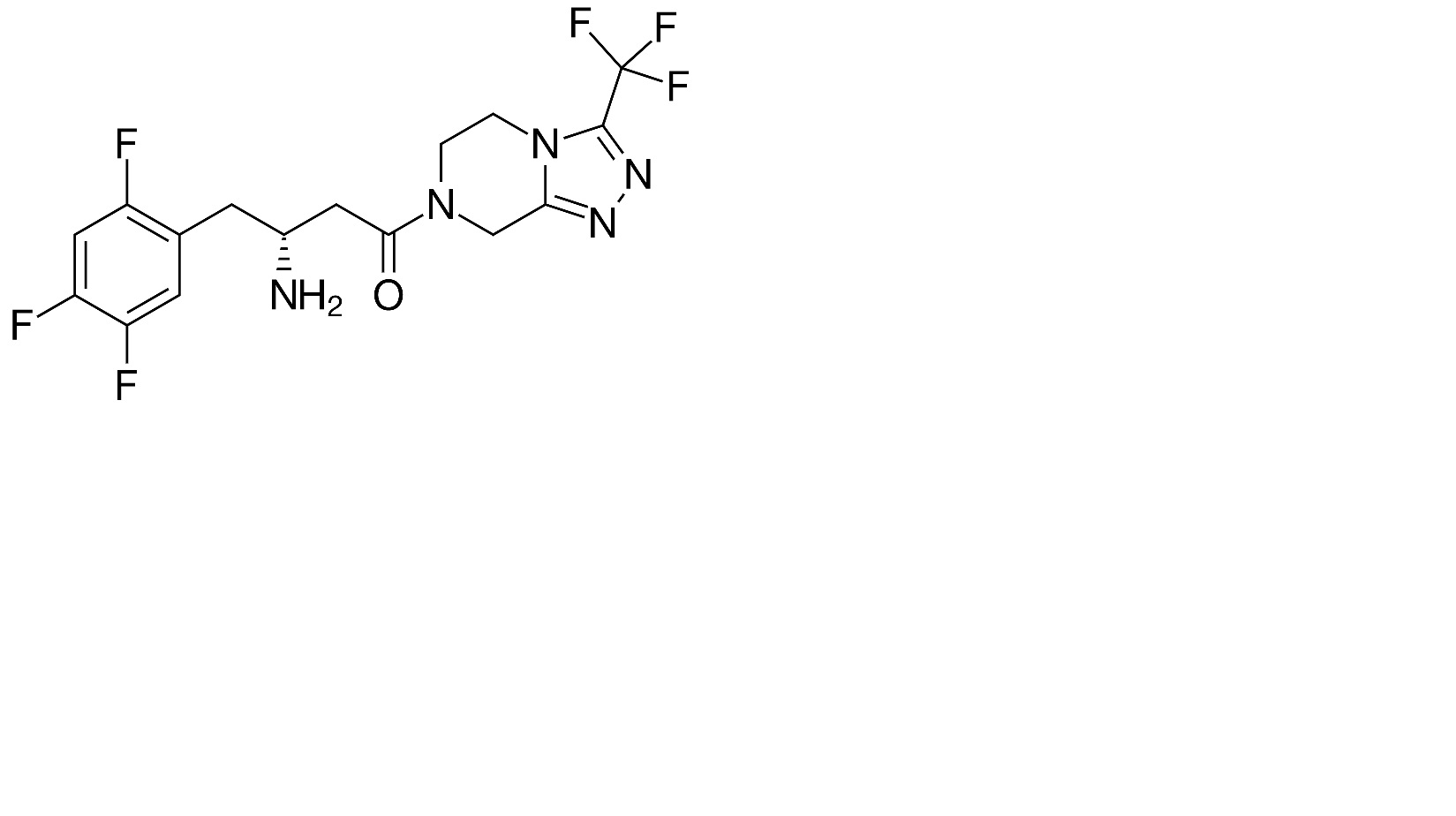
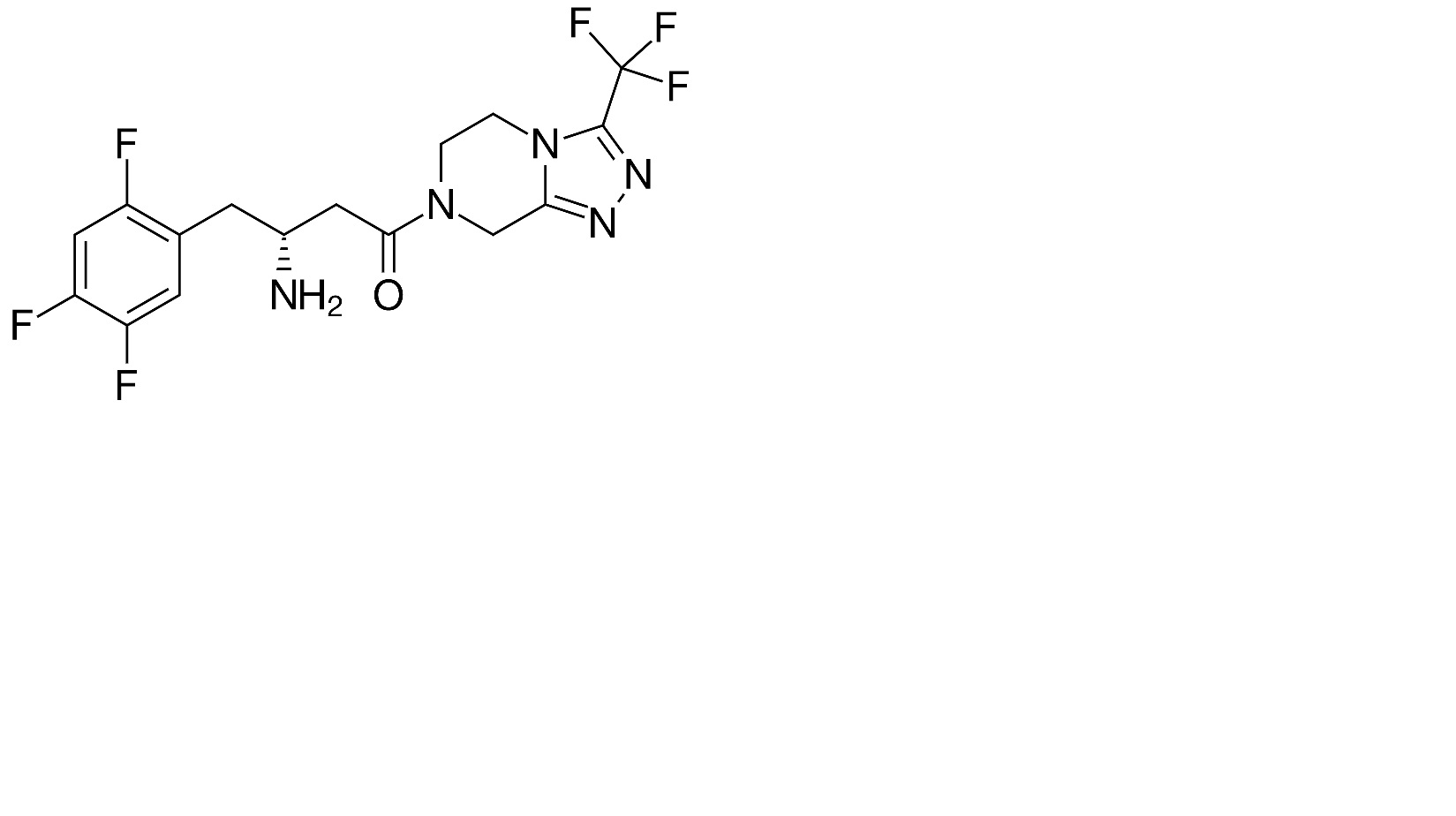
Zu Hypoglykämie führend   Sitagliptine phosphate  
Lösung zum Einnehmen
Stabilität von pharmazeutischen Präparaten Gemengestabilität Stabilitätbeeinflussende Faktoren Kompatibilitäten Literaturverzeichnis pdf
   Chemische Struktur  

Lösung zum Einnehmen

Stabilitätbeeinflussende Faktoren   Lösung zum Einnehmen   Stabilitätbeeinflussende Faktoren : Sitagliptine phosphate        
Keine Daten

  Mentions Légales