Pēdējā atjaunošana :
27/01/2026
Hipoglikēmijas izraisošs līdzeklis   Sitagliptine phosphate  
Orāls šķīdums
Stabilitāte farmaceitisko preparātu Maisījuma stabilitāte Stabilitāti ietekmējoši faktori Saderība Literatūras saraksts pdf
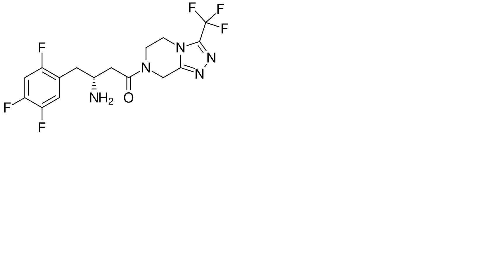
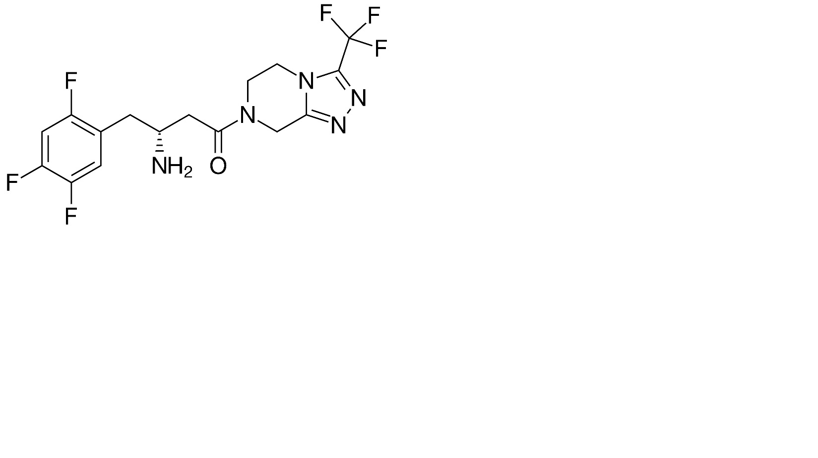
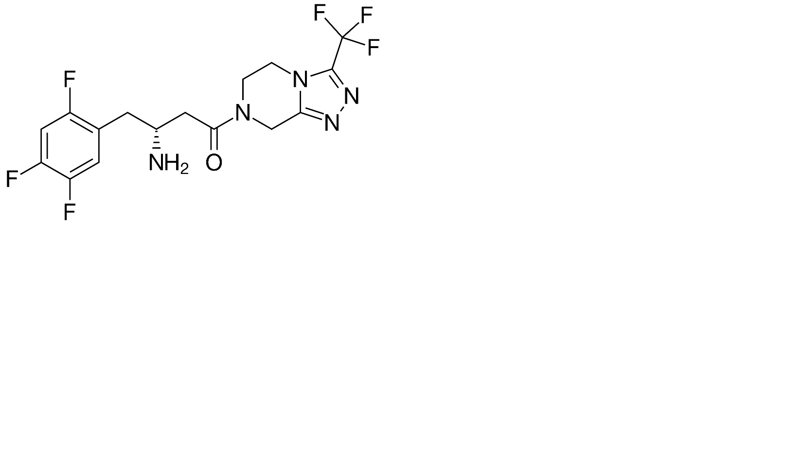
   Ķīmiskā uzbūve   

Orāls šķīdums

Stabilitāti ietekmējoši faktori   Orāls šķīdums   Stabilitāti ietekmējoši faktori : Sitagliptine phosphate        
Nav datu

  Mentions Légales