Poslední aktualizace :
27/01/2026
Gliukozės kiekį mažinantis vaistas   Sitagliptine phosphate  
Geriamas tirpalas
Stabilumas farmacinių preparatų Mišinių stabilumas Stabilumą lemiantys veiksniai Suderinamumas Bibliografija pdf
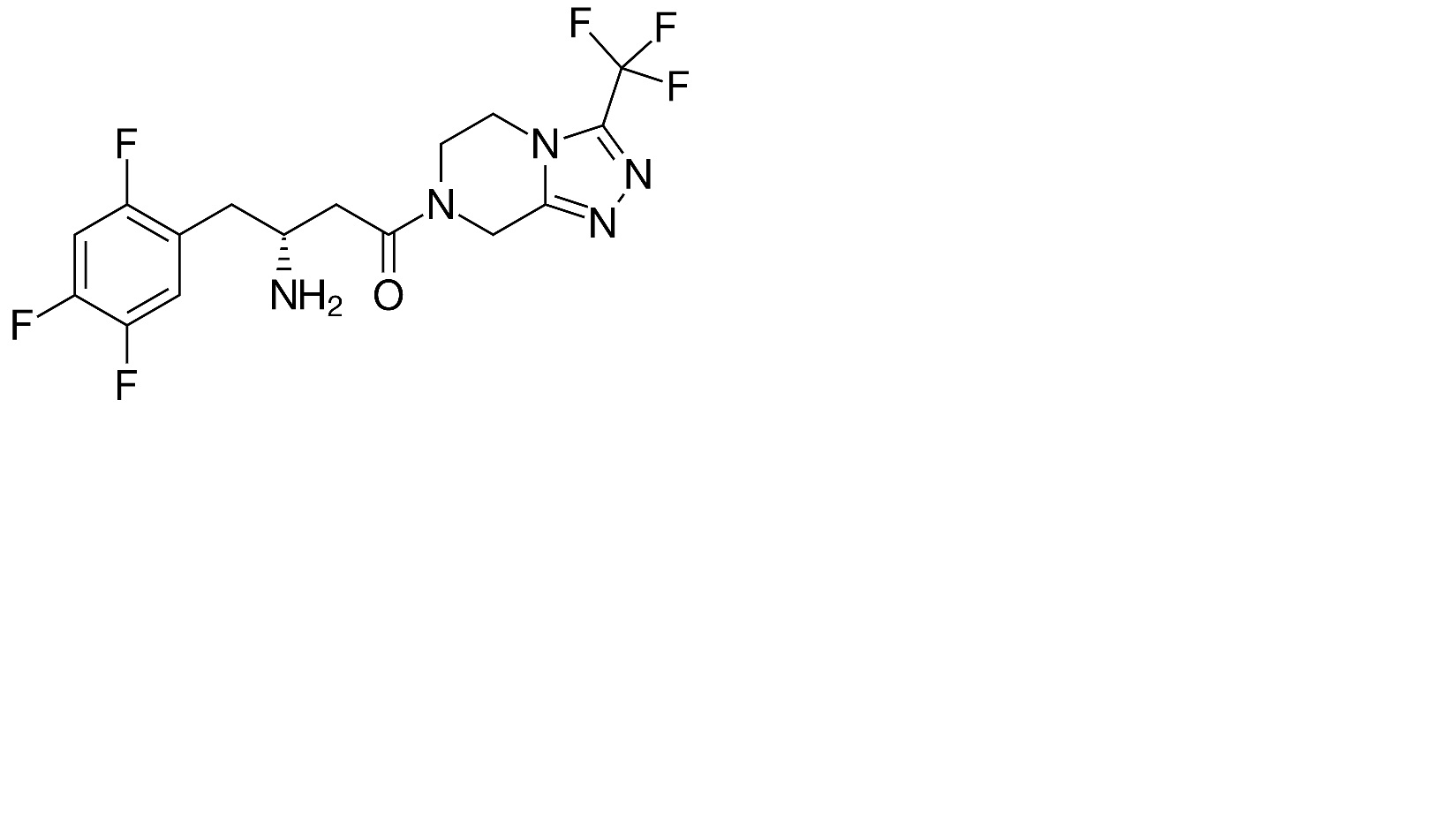
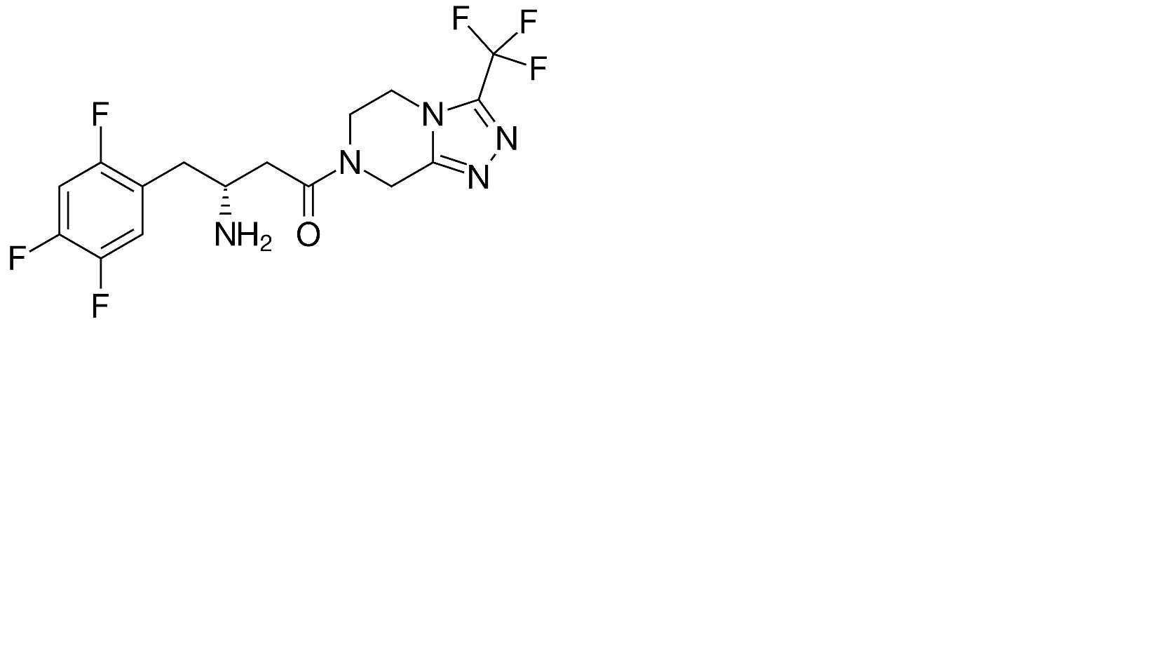
   Cheminė sandara  

Geriamas tirpalas

Stabilumą lemiantys veiksniai   Geriamas tirpalas   Stabilumą lemiantys veiksniai : Sitagliptine phosphate        
Nėra duomenų

  Mentions Légales