Última actualización :
27/01/2026
Antibiótico   Co-trimoxazole  
Solución Oral
Inyectables
La estabilidad de las preparaciones farmacéuticas Estabilidad en mezcla Factores que influyen sobre la estabilidad Compatibilidades Bibliografía pdf
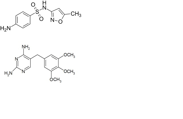
   Estructura química  

Solución Oral
La estabilidad de las preparaciones farmacéuticas   Solución Oral   La estabilidad de las preparaciones farmacéuticas : Co-trimoxazole     
Envase Origine Excipiente Temperatura Conservación Duración de la estabilidad Bibliografía
Botella de plástico Polvo 2000/400 mg
® = ?
Oral Mix® >> 50 mL
25°C A cubierto de la luz
14 Día
4638

Botella de plástico Polvo 2000/400 mg
® = ?
Oral Mix SF® >> 50 mL
25°C A cubierto de la luz
14 Día
4638

Botella de plástico Polvo 2000/400 mg
® = ?
Oral Mix® >> 50 mL
5°C A cubierto de la luz
90 Día
4638

Botella de plástico Polvo 2000/400 mg
® = ?
Oral Mix SF® >> 50 mL
5°C A cubierto de la luz
14 Día
4638

Jeringa Polvo 100/20 mg
® = ?
Oral Mix® >> 2,5 mL
25°C A cubierto de la luz
14 Día
4638

Jeringa Polvo 100/20 mg
® = ?
Oral Mix SF® >> 2,5 mL
25°C A cubierto de la luz
7 Día
4638

Jeringa Polvo 100/20 mg
® = ?
Oral Mix® >> 2,5 mL
5°C A cubierto de la luz
90 Día
4638

Jeringa Polvo 100/20 mg
® = ?
Oral Mix SF® >> 2,5 mL
5°C A cubierto de la luz
90 Día
4638


  Mentions Légales