Ultimele actualizari :
27/01/2026
Infostab
Listele
Listele
Cercetări de compatibilitate
Tabel de compatibilitate Y-site
Bibliografie
Echipe de cercetare
valistab
poster
Conexiuni
sponsori
Autor
Mod de utilizare
Newsletter
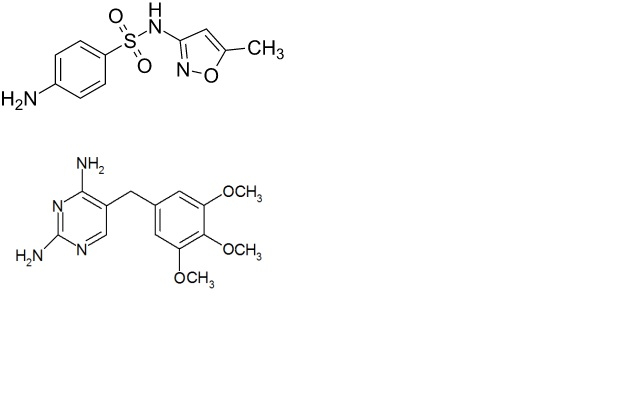
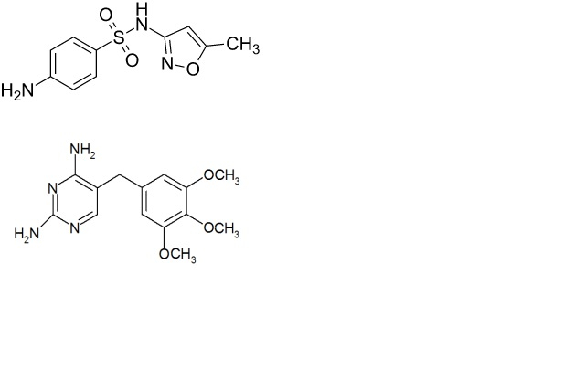
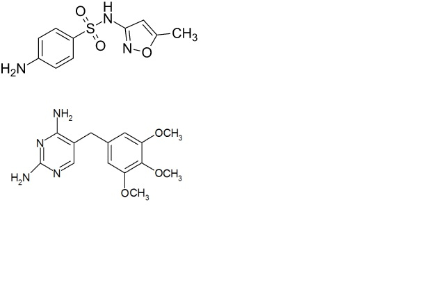
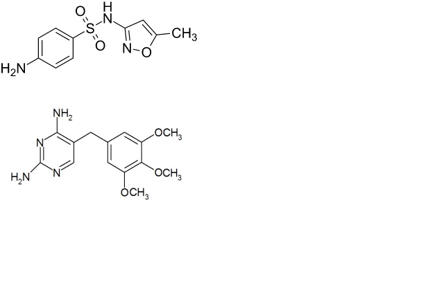
Co-trimoxazole
Formula chimica
Stabilitatea preparatelor farmaceutice : Co-trimoxazole
2000/400 mg
® = ?
Oral Mix®
>> 50 mL
25°C
14
4638
2000/400 mg
® = ?
Oral Mix SF®
>> 50 mL
25°C
14
4638
2000/400 mg
® = ?
Oral Mix®
>> 50 mL
5°C
90
4638
2000/400 mg
® = ?
Oral Mix SF®
>> 50 mL
5°C
14
4638
100/20 mg
® = ?
Oral Mix®
>> 2,5 mL
25°C
14
4638
100/20 mg
® = ?
Oral Mix SF®
>> 2,5 mL
25°C
7
4638
100/20 mg
® = ?
Oral Mix®
>> 2,5 mL
5°C
90
4638
100/20 mg
® = ?
Oral Mix SF®
>> 2,5 mL
5°C
90
4638
Mentions Légales