Poslední aktualizace :
27/01/2026
Antibiotikum   Co-trimoxazole  
Perorální roztok
injekce
Stabilita farmaceutických přípravků Stabilita směsí Faktory ovlivňující stabilitu Kompatibilita Odkazy pdf
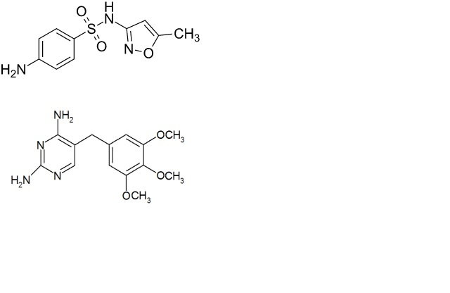
   Chemický vzorec  

Perorální roztok
Stabilita farmaceutických přípravků   Perorální roztok   Stabilita farmaceutických přípravků : Co-trimoxazole     
Obal Origine Pomocné látky Teplota Uchovávání Trvání stability Odkazy
plastová láhev prášek 2000/400 mg
® = ?
Oral Mix® >> 50 mL
25°C Chráněno před světlem
14 Den
4638

plastová láhev prášek 2000/400 mg
® = ?
Oral Mix SF® >> 50 mL
25°C Chráněno před světlem
14 Den
4638

plastová láhev prášek 2000/400 mg
® = ?
Oral Mix® >> 50 mL
5°C Chráněno před světlem
90 Den
4638

plastová láhev prášek 2000/400 mg
® = ?
Oral Mix SF® >> 50 mL
5°C Chráněno před světlem
14 Den
4638

stříkačka prášek 100/20 mg
® = ?
Oral Mix® >> 2,5 mL
25°C Chráněno před světlem
14 Den
4638

stříkačka prášek 100/20 mg
® = ?
Oral Mix SF® >> 2,5 mL
25°C Chráněno před světlem
7 Den
4638

stříkačka prášek 100/20 mg
® = ?
Oral Mix® >> 2,5 mL
5°C Chráněno před světlem
90 Den
4638

stříkačka prášek 100/20 mg
® = ?
Oral Mix SF® >> 2,5 mL
5°C Chráněno před světlem
90 Den
4638


  Mentions Légales