Cập nhật lần cuối :
27/04/2026
Kháng sinh   Co-trimoxazole  
Dung dịch uống
Dạng tiêm
Tính ổn định của các chế phẩm Độ ổn định khi trộn lẫn Những yếu tố ảnh hưởng đến độ ổn định Khả năng tương thích Tài liệu tham khảo Pdf
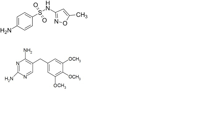
   Cấu trúc hóa học  

Dung dịch uống
Tài liệu tham khảo   Dung dịch uống   Tài liệu tham khảo : Co-trimoxazole  
Loại Nguồn
4638 Tạp chí St-Jean I, Friciu M, Monfort A, MacMahon J, Forest J-M, Walker S, Leclair G.
Stability of Extemporaneously Compounded Suspensions of Trimethoprim and Sulfamethoxazole in Amber Plastic Bottles and Amber Plastic Syringes.
Can J Hosp Pharm 2021 2021;74(4):327-33

  Mentions Légales