Ultimele actualizari :
27/01/2026
Antibiotic   Co-trimoxazole  
Soluţie orală
Injectabil
Stabilitatea preparatelor farmaceutice Stabilitatea in amestec Factorii care influenteaza stabilitatea Compatibilitate Bibliografie pdf
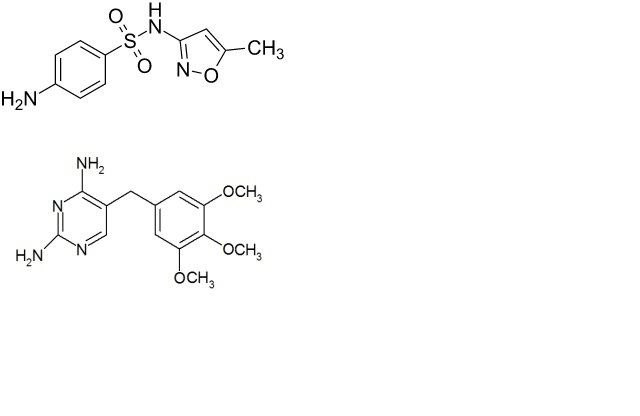
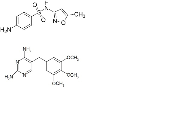
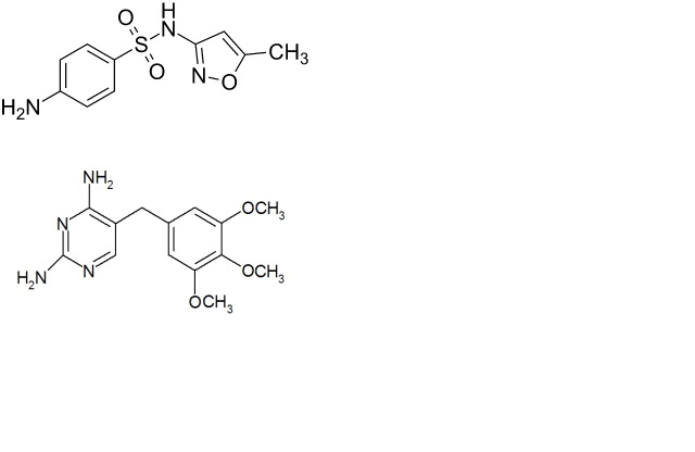
   Formula chimica  

Soluţie orală
Bibliografie   Soluţie orală   Bibliografie : Co-trimoxazole  
tip publicare
4638 ziar St-Jean I, Friciu M, Monfort A, MacMahon J, Forest J-M, Walker S, Leclair G.
Stability of Extemporaneously Compounded Suspensions of Trimethoprim and Sulfamethoxazole in Amber Plastic Bottles and Amber Plastic Syringes.
Can J Hosp Pharm 2021 2021;74(4):327-33

  Mentions Légales