Ostatnia aktualizacja :
27/04/2026
Antybiotyk   Co-trimoxazole  
Roztwór doustny
Injekcje
Stabilność preparatów farmaceutycznych Trwałość w mieszaninie Czynnik wpływający na trwałość Zgodność Bibliografia pdf
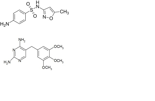
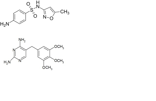
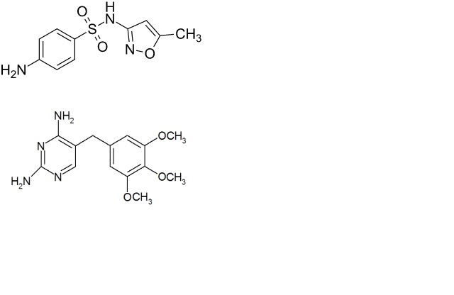
   Struktura chemiczna  

Roztwór doustny
Bibliografia   Roztwór doustny   Bibliografia : Co-trimoxazole  
typ publikacja
4638 Czasopismo St-Jean I, Friciu M, Monfort A, MacMahon J, Forest J-M, Walker S, Leclair G.
Stability of Extemporaneously Compounded Suspensions of Trimethoprim and Sulfamethoxazole in Amber Plastic Bottles and Amber Plastic Syringes.
Can J Hosp Pharm 2021 2021;74(4):327-33

  Mentions Légales